2022년04월02일 102번
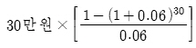
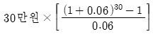
[부동산학원론] A는 향후 30년간 매월 말 30만원의 연금을 받을 예정이다. 시중 금리가 연 6% 일 때 , 이 연금의 현재가치를 구하는 식으로 옳은 것은? (단, 주어진 조건에 한함)
-
①
-
②
-
③
-
④
-
⑤
(정답률: 알수없음)
문제 해설
현재가치 = 연금의 미래가치 / (1+시중금리)^n
여기서 연금의 미래가치는 매월 말 30만원이므로, 연 6%의 이자율로 계산하면 다음과 같다.
30만원 x ((1+0.06/12)^360 - 1) / (0.06/12) = 4,847,996원
따라서, 현재가치는 4,847,996원이 된다.
정답은 "
" 이다. 이유는 위에서 계산한 현재가치가 해당 보기의 값과 일치하기 때문이다.
여기서 연금의 미래가치는 매월 말 30만원이므로, 연 6%의 이자율로 계산하면 다음과 같다.
30만원 x ((1+0.06/12)^360 - 1) / (0.06/12) = 4,847,996원
따라서, 현재가치는 4,847,996원이 된다.
정답은 "
" 이다. 이유는 위에서 계산한 현재가치가 해당 보기의 값과 일치하기 때문이다.연도별
진행 상황
0 오답
0 정답
- 1
- 2
- 3
- 4
- 5
- 6
- 7
- 8
- 9
- 10
- 11
- 12
- 13
- 14
- 15
- 16
- 17
- 18
- 19
- 20
- 21
- 22
- 23
- 24
- 25
- 26
- 27
- 28
- 29
- 30
- 31
- 32
- 33
- 34
- 35
- 36
- 37
- 38
- 39
- 40
- 41
- 42
- 43
- 44
- 45
- 46
- 47
- 48
- 49
- 50
- 51
- 52
- 53
- 54
- 55
- 56
- 57
- 58
- 59
- 60
- 61
- 62
- 63
- 64
- 65
- 66
- 67
- 68
- 69
- 70
- 71
- 72
- 73
- 74
- 75
- 76
- 77
- 78
- 79
- 80
- 81
- 82
- 83
- 84
- 85
- 86
- 87
- 88
- 89
- 90
- 91
- 92
- 93
- 94
- 95
- 96
- 97
- 98
- 99
- 100
- 101
- 102
- 103
- 104
- 105
- 106
- 107
- 108
- 109
- 110
- 111
- 112
- 113
- 114
- 115
- 116
- 117
- 118
- 119
- 120