전기기사 (2007년03월04일 기출문제)
1과목 : 전기자기학
1번
자유공간에서 변위 전류는 무엇에 의해서 발생하는가?
2번
맥스웰의 전자방정식 중 패러데이 법칙에서 유도된 식은? (단, D : 전속밀도, ρv : 공간 전하밀도, B : 자속밀도, E : 전계의 전위, J : 전류밀도, H : 자계의 세기)
3번
진공 중의 도체계에서 유도계수와 용량계수의 성질 중 옳지 않은 것은?
4번
전기력선의 성질에 대한 설명으로 옳지 않은 것은?
5번
전위 V가 단지 x만의 함수이며 x=0에서 V=0이고, x=d일 때 V=V0이니 경계조건을 갖는다고 한다. 라플라스 방정식에 의한 V의 해는?
6번
진공 중에 있는 반지름 a[m]인 도체구의 정전용량 [F]은?
7번
다음 중 자기회로의 자기저항에 대한 설명으로 옳은 것은?
8번
N회 감긴 환상코일의 단면적이 S[m2]이고 평균 길이가 I[m]이다. 이 코일의 권수를 반으로 줄이고 인덕턴스를 일정하게 하려고 할 때, 다음 중 옳은 것은?
9번
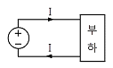
그림과 같이 직류전원에서 부하에 공급하는 전류는 50[A]이고 전원전압은 480[V]이다. 도선이 10[㎝] 간격으로 평행하게 배선되어 있다면 1[m] 당 두 도선 사이에 작용하는 힘은 몇 [N]이며, 어떻게 작용하는가?

10번
최대 전계 Em=6[V/m]인 평면전자파가 수중을 전파할 때 자계의 최대치는 약 몇 [AT/m]인가? (단, 물의 비유전율 εs=80, 비투자율 μs=1이다.)
11번
유전체의 분극도 표현으로 옳지 않은 것은? (단, P : 분극의 세기, D : 전속밀도, E : 전계의 세기, ε : 유전율, ε0 : 진공의 유전율, εr : 비유전율이다.)
12번
그림과 같은 수평한 연철봉 위에 절연된 동선을 감아 이것에 저항, 전류, 스위치를 접속하여 연철봉의 한 끝에는 알루미늄 링을 축과 일치시켜 움직일 수 있도록 가느다란 실로 매달아 정지시켰을 때 다음 설명 중 옳은 것은?

13번
점전하 Q1, Q2 사이에 작용하는 쿨롱의 힘이 F일 때, 이 부근에 점전하 Q3를 놓을 경우 Q1과 Q2 사이의 쿨롱의 힘은 F'이다. F'와 F의 관계로 옳은 것은?
14번
벡터 A=i-j+3k, B=i+ak일 때 벡터 A와 벡터 B가 수직이 되기 위한 a의 값은? (단, i, j, k는 x, y, z 방향의 기본벡터이다.)
15번
다음 유전체 중 비유전율이 가장 작은 것은?
16번
전계 E[V/m] 및 자계 H[AT/m]인 전자파가 자유공간 중을 빛의 속도로 전파될 때 단위시간에 단위면적을 지나는 에너지는 몇 [W/m2]인가? (단, C는 빛의 속도를 나타낸다.)
17번
유전체 A, B의 접합하여 전하가 없을 때, 각 유전체 중 전계의 방향이 그림과 같고 EA=100[V/m]이면, EB는 몇 [V/m]인가?

18번
1[μA]의 전류가 흐르고 있을 때, 1초 동안 통과하는 전자수는 약 몇 개인가? (단, 전자 1개의 전하는 1.602×10-19[C]이다.)
19번
그림과 같이 평등자장 및 두 평행 도선이 놓여 있을 때 두 평행 도선상을 한 도선봉이 V[m/s]의 일정한 속도로 이동한다면 부하 R [Ω]에서 줄열로 소비되는 전력 [W]은 어떻게 표시되는가? (단, 도선봉과 두 평행 도선은 완전도체로 저항이 없는 것으로 한다.)

20번
유전체 역률 (tanδ)과 무관한 것은?
2과목 : 전력공학
21번
전선의 표피효과에 관한 설명으로 옳은 것은?
22번
유량의 크기를 구분할 때 갈수량이란?
23번
화력발전소에서 재열기의 목적은?
24번
송전계통의 안정도 향상 대책이 아닌 것은?
25번
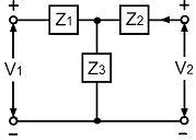
그림과 같은 회로의 영상, 정상, 역상임피던스 Z0, Z1, Z2는?

26번
반지름 0.6[㎝]인 경동선을 사용하는 3상 1회선 송전선에서 선간거리를 2[m]로 정삼각형 배치할 경우, 각 선의 인덕턴스는 약 몇 [mH/km]인가?
27번
다음 ( ① ), ( ② ), ( ③ ) 에 알맞은 것은?

28번
원자로의 감속재가 구비하여야 할 사항으로 적합하지 않은 것은?
29번
송전선로에 매설지선을 설치하는 주된 목적은?
30번
다음 중 배전 선로의 손실을 경감하기 위한 대책으로 적절하지 않는 것은?
31번
경간 200[m], 전선의 자체무게 2[kg/m], 인장하중 5000[kg], 안전율 2인 경우, 전선의 이도(dip)는 몇 [m]인가?
32번
150kVA 단상변압기 3대를 △-△결선으로 사용하다가 1대의 고장으로 V-V 결선하여 사용하면 약 몇 kVA 부하까지 걸 수 있겠는가?
33번
전원이 양단에 있는 환상선로의 단락보호에 사용되는 계전기는?
34번
소호리액터접지의 합조도가 정(+)인 경우에는 어느 것과 관련이 있는가?
35번
60[Hz], 154[kV], 길이 100[km]인 3상 송전선로에서 대지정전용량 Cs=0.005[μF/Km], 전선 간의 상호정전용량 Cm=0.0014[μF/km]일 때 1선에 흐르는 충전전류는 약 몇 A인가?
36번
이상 전압에 대한 설명 중 옳지 않은 것은?
37번
평균유효낙차 48[m]의 저수지식 발전소에서 1000[m3]의 저수량은 약 몇[kWh]의 전력량에 해당하는가? (단, 수차 및 발전기의 종합효율은 85%라고 한다.)
38번
송전거리, 전력, 손실률 및 역률이 일정하다면 전선의 굵기는?
39번
변전소에서 비접지 선로의 접지보호용으로 사용되는 계전기에서 영상전류를 공급하는 것은?
40번
수력발전소에서 조속기의 작동을 민감하게 하면, 수압상승률 α와 속도상승률 β는 어떻게 변화하는가?
3과목 : 전기기기
41번
50[Hz], 슬립 0.2인 경우의 회전자 속도가 600[rpm]일 때 유도전동기의 극수는 몇 극인가?
42번
브러시레스 DC 서보 모터의 특징으로 틀린 것은?
43번
4극, 60[Hz]의 유도전동기가 슬립 5%로 전부하 운전하고 있을 때, 2차 권선의 손실이 94.25[W]라고 하면 토크는 약 몇 [N·m]인가?
44번
3상 전원을 이용하여 2상전압을 얻고자 할 때 사용하는 결선 방법은?
45번
임피던스 전압강하가 5[%]인 변압기가 운전 중 단락되었을 때 단락전류는 정격전류의 몇 배가 되는가?
46번
4극 중권 직류전동기의 전기자 도체수가 160, 1극당 자극수 0.01[Wb], 전기자 전류가 100[A]라면 발생토크는 약 몇[N·m]인가?
47번
변압기의 전압 변동률에 대한 설명 중 잘못된 것은?
48번
전압 변동률이 작은 동기발전기의 특성으로 옳은 것은?
49번
다음 중 서보모터가 갖추어야 할 조건이 아닌 것은?
50번
3상 직권정류자 전동기의 특성으로 틀린 것은?
51번
100[HP], 600[V], 1200[rpm]의 직류 분권전동기가 있다. 분권 계자저항이 400[Ω], 전기자저항이 0.22[Ω]이고 정격부하에서의 효율이 90%일 때 전부하 시의 역기전력은 약 몇 [V]인가?
52번
부하가 변하면 속도가 현저하게 변하는 직류 전동기는?
53번
전압을 일정하게 유지하기 위해서 이용되는 다이오드는?
54번
6극 60[Hz] 3상 동기발전기가 있다. 회전자의 주변속도를 400[m/s] 이하로 하려면 회전자의 최대 지름은 약 몇 m로 하여야 하는가?
55번
변압기유로 사용되는 절연유로 요구되는 특성이 아닌 것은?
56번
다음 중 3단자 사이리스터가 아닌 것은?
57번
변압기에서 컨서베이터를 설치하는 가장 중요한 목적은?
58번
다음 단상 유도전동기 중 기동 토크가 가장 큰 것은?
59번
3상 동기발전기의 여자전류 10[A]에 대한 단자전압이 1000√3V, 3상 단락전류는 50A이다. 이때의 동기임피던스는 몇 Ω인가?
60번
동기발전기의 병렬운전에서 한쪽의 계자전류를 증대시켜 유기기전력을 크게 하면 어떻게 되는가?
4과목 : 회로이론 및 제어공학
61번
20[mH]의 두 자기인덕턴스가 있다. 결합계수를 0.1부터 0.9까지 변화시킬 수 있다면 이것을 접속시켜 얻을 수 있는 합성 인덕턴스의 최대값과 최소값의 비는 얼마인가?
62번
R-L 직렬회로에서 스위치 S를 닫아 직류전압 E[V]를 회로 양단에 급히 가하면 L/R초 후의 전류값은 약 얼마인가?
63번
대칭 좌표법에서 대칭분을 각 상전압으로 표시한 것 중 틀린 것은?
64번
전압의 순시값이 e=3+10√2·sinωt+5√2·sin(3ωt-30°)[V]일 때 실효값은 약 몇 [V]인가?
65번
회로에서 7[Ω]의 저항 양단의 전압은 몇 [V]인가?

66번
그림과 같은 T형 회로의 임피던스 파라미터 Z11의 값은?

67번
R=2[Ω], L=10[mH], C=4[μF]의 직렬 공진회로의 선택도 Q값은 얼마인가?
68번
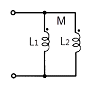
그림의 회로에서 합성 인덕턴스는?

69번
R, C 저역 필터회로의 전달함수 G(jω)는 얼마인가? (단, ω=0 이다.)

70번
전송선로의 특성임피던스가 50[Ω]이고 부하저항이 150[Ω]이면 부하에서의 반사계수는 얼마인가?
71번
함수 f(t)=e-2ᵗcos3t의 라플라스 변환은?
72번
다음 안정도 판별법 중 G(s)H(s)의 극점과 영점이 우반평면에 있을 경우 판정 불가능한 방법은?
73번
상태방정식 X(t)=AX(t)으로 표시되는 제어계가 있다. 이 방정식의 값은 어떻게 되는가? (단, X(0)는 초기상태 벡터이다)
74번
상태 방정식 X=AX+BU에서 일 때 고유 값은?

75번
그림과 같은 블록선도에서 등가 전달함수는?

76번
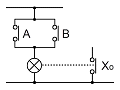
그림과 같은 논리회로는?

77번
특성방정식이 S3+S2+s=0일 때, 이 계통은 어떻게 되는가?
78번
그림과 같은 제어계에서 단위 계단 입력 D가 인가 될 때 외란 D에 의한 정상편차는 얼마인가?

79번
그림과 같은 회로망은 어떤 보상기로 사용될 수 있는가?

80번
자동제어의 추치 제어에 속하지 않는 것은?
5과목 : 전기설비기술기준 및 판단기준
81번
변전소에 고압용 기계기구를 시가지내에 사람이 쉽게 접촉할 우려가 없도록 시설하는 경우 지표상 몇 [m]이상의 높이에 시설하여야 하는가? (단, 고압용 기계기구에 부속하는 전선으로는 케이블을 사용한다.)
82번
지중전선로의 시설에 관한 사항으로 옳은 것은?
83번
피뢰기를 반드시 시설하여야 할 곳은?
84번
지중전선로를 직접매설식에 의하여 시설하는 경우에 차량 등 중량물의 압력을 받을 우려가 있는 장소에는 매설 깊이를 몇 m 이상으로 하여야 하는가?(관련 규정 개정전 문제로 여기서는 기존 정답인 4번을 누르면 정답 처리됩니다. 자세한 내용은 해설을 참고하세요.)
85번
사용전압이 400[V] 미만인 저압 가공전선은 케이블이나 절연전선인 경우를 제외하고 인장강도가 3.42[kN]이상인 것 또는 지름이 몇 [mm]이상의 경동선이어야 하는가?
86번
다음 ( ) 안의 내용으로 옳은 것은?

87번
다음 중 무선용 안테나 등을 지지하는 철탑의 기초안전율로 옳은 것은?
88번
전로의 중성점을 접지하는 목적이 아닌 것은?
89번
저압 가공전선 상호간을 접근 또는 교차하여 시설하는 경우 전선 상호간 이격거리 및 하나의 저압가공전선과 다른 저압 가공전선로의 지지물사이의 이격거리는 각각 몇 ㎝ 이상이어야 하는가? (단, 어느 한 쪽의 전선이 고압 절연전선, 특별고압절연전선 또는 케이블이 아닌 경우이다.)
90번
수소 냉각식 발전기 등의 시설기준으로 옳지 않은 것은?
91번
고주파 이용 설비에서 다른 고주파 이용 설비에 누설되는 고주파 전류의 허용 한도는 몇 [dB]인가? (단, 1[mW]를 0[dB]로 한다.)
92번
교류 단선식 전기철도에서 전차선로를 전용 부지 안에 시설하고 전차선을 가공방식으로 할 때 사용전압은 몇 [V]이하이어야 하는가?
93번
고압용 차단기 등의 동작 시에 아크가 발생하는 기구는 목재의 벽 또는 천장 등 가연성 구조물 등으로부터 몇 m 이상 이격하여 시설하여야 하는가?
94번
다음 중 접지공사에 대한 설명으로 옳지 않은 것은?(관련 규정 개정전 문제로 여기서는 기존 정답인 3번을 누르면 정답 처리됩니다. 자세한 내용은 해설을 참고하세요.)
95번
최대 사용전압이 22900[v]인 3상4선식 중성선 다중접지식 전로와 대지사이의 절연내력 시험전압은 몇 [V]인가?
96번
전력계통의 운용에 관한 지시를 하는 곳은?
97번
교류에서 고압의 범위는?(관련 규정 개정전 문제로 여기서는 기존 정답인 1번을 누르면 정답 처리됩니다. 자세한 내용은 해설을 참고하세요.)
98번
가공 전선로의 지지물에 시설하는 지선에 관한 사항으로 옳은 것은?
99번
전로의 사용전압 400[V] 미만이고, 대지전압이 220[V]인 옥내전로에서 분기회로의 절연저항값은 몇 [MΩ]이상이어야 하는가?(관련 규정 개정전 문제로 여기서는 기존 정답인 2번을 누르면 정답 처리됩니다. 자세한 내용은 해설을 참고하세요.)
100번
가반형의 용접전극을 사용하는 아크용접지장치의 시설에 대한 설명으로 옳은 것은?
연도별
- 2022년04월24일
- 2022년03월05일
- 2021년08월14일
- 2021년05월15일
- 2021년03월07일
- 2020년09월26일
- 2020년08월22일
- 2020년06월06일
- 2019년08월04일
- 2019년04월27일
- 2019년03월03일
- 2018년08월19일
- 2018년04월28일
- 2018년03월04일
- 2017년08월26일
- 2017년05월07일
- 2017년03월05일
- 2016년08월21일
- 2016년05월08일
- 2016년03월06일
- 2015년08월16일
- 2015년05월31일
- 2015년03월08일
- 2014년08월17일
- 2014년05월25일
- 2014년03월02일
- 2013년08월18일
- 2013년06월02일
- 2013년03월10일
- 2012년08월26일
- 2012년05월20일
- 2012년03월04일
- 2011년08월21일
- 2011년06월12일
- 2011년03월20일
- 2010년07월25일
- 2010년05월09일
- 2010년03월07일
- 2009년07월26일
- 2009년05월10일
- 2009년03월01일
- 2008년07월27일
- 2008년05월11일
- 2008년03월02일
- 2007년08월05일
- 2007년05월13일
- 2007년03월04일
- 2006년08월06일
- 2006년05월14일
- 2006년03월05일
- 2005년08월07일
- 2005년05월29일
- 2005년03월06일
- 2004년08월08일
- 2004년05월23일
- 2004년03월07일
- 2003년08월10일
- 2003년05월25일
- 2003년03월16일