전기기사 (2015년03월08일 기출문제)
1과목 : 전기자기학
1번
무한장 선로에 균일하게 전하가 분포된 경우 선로로부터 r[m] 떨어진 P점에서의 전계의 세기 E[V/m]는 얼마인가? (단, 선전하 밀도는 PL[C/m]이다.)

2번
반지름이 5mm인 구리선에 10A의 전류가 흐르고 있을 때 단위 시간당 구리선의 단면을 통과하는 전자의 개수는? (단, 전자의 전하량 e=1.602×10-19이다.)
3번
자계의 벡터 포텐셜을 A라 할 때 자계의 변화에 의하여 생기는 전계의 세기 E는?
4번
투자율을 μ라 하고 공기중의 투자율 μ0와 비투자율 μs의 관계에서
로 표현된다. 이에 대한 설명으로 알맞은 것은?(단, X 는 자화율이다.)
로 표현된다. 이에 대한 설명으로 알맞은 것은?(단, X 는 자화율이다.)
5번
Ωㆍsec와 같은 단위는?
6번
0.2C의 점전하가 전계 E=5ay+az[V/m] 및 자속밀도 B=2ay+5az[wb/m2]내로 속도 v=2ax+3ay[m/s]로 이동할 때 점전하에 작용하는 힘 F[N]은? (단, ax, ay, az는 단위 벡터이다.)
7번
자계의 세기 H=xyay-xzaz일 때, 점 (2,3,5)에 서 전류밀도는 몇 A/m2인가?
8번
평행판 콘덴서의 극간 전압이 일정한 상태에서 극간에 공기가 있을 때의 흡인력을 F1, 극판 사이에 극판 간격의 2/3 두께의 유리판 (εr=10)을 삽입할 때의 흡입력을 F2라 하면 F2/F1는?
9번
진공 중에 +20μC 과 -3.2μC 인 2개의 점전하가 1.2m 간격으로 놓여 있을 때 두 전하 사이에 작용하는 힘[N]과 작용력은 어떻게 되는가?
10번
내부도체의 반지름이 a[m]이고, 외부 도체의 내반지름이 b[m], 외반지름이 c[m]인 동축 케이블의 단위 길이당 자기 인덕턴스는 몇 H/m인가?
11번
진공 중에 있는 반지름 a[m]인 도체구의 정전용량 [F]은?
12번
회로에서 단자 a-b간에 V의 전위차를 인가할 때 C1의 에너지는?

13번
무한장 직선도체가 있다. 이 도체로부터 수직으로 0.1m 떨어진 점의 자계의 세기가 180 AT/m이다. 이 도체로부터 수직으로 0.3m 떨어진 점의 자계의 세기[AT/m]는?
14번
공기 중에서 x 방향으로 진행하는 전자파가 있다. Ey=3×10-2sinω(x-vt)[V/m], Ez=4×10-2sinω(x-vt)[V/m] 일 때 포인팅 벡터의 크기 [W/m2]는?
15번
Qℓ=±200πε0×103[Cㆍm]인 전기 쌍극자에서 ℓ과 r의 사이각이 π/3 이고, r=1인 점의 전위[V]는?
16번
60Hz의 교류 발전기의 회전자가 자속밀도 0.15 Wb/m2의 자기장 내에서 회전하고 있다. 만일 코일의 면적이 2×10-2[m2]일 때, 유도기전력의 최대값Em220[V]가 되려면 코일을 몇 번 감아야 하는가? (단, ω=2πf=377rad/sec이다)
17번
유전율 ε1, ε2 인 두 유전체 경계면에서 전계가 경계면에 수직일 때 경계면에 작용하는 힘은 몇 [N/m2]인가?(단, ε1 > ε2이다.)
18번
와전류와 관련된 설명으로 틀린 것은?
19번
전속밀도에 대한 설명으로 가장 옳은 것은?
20번
균일한 자속밀도 중에 자기 모멘트 의 자석(관성모멘 I)이 있다. 이 자석을 미소 진동 시켰을 때의 주기는?
2과목 : 전력공학
21번
3상 송전선로의 각 상의 대지 정전용량을 Ca, Cb 및 Cc라 할 때, 중성점 비접지 시의 중성점과 대지간의 전압은?(단, E는 상전압이다.)

22번
전력 계통의 전압을 조정하는 가장 보편적인 방법은?
23번
폐쇄 배전반을 사용하는 주된 이유는 무엇인가?
24번
송전 계통의 안정도를 향상시키는 방법이 아닌 것은?
25번
66kV 송전선로에서 3상 단락고장이 발생하였을 경우 고장점에서 본 등가 정상임피던스가 자기용량 40[MVA]기준으로 20%일 경우 고장전류는 정격전류의 몇 배가 되는가?
26번
조압수조의 설치 목적은?
27번
망상(network) 배전방식의 장점이 아닌것은?
28번
정전용량 0.01μF/km, 길이 173.2km, 선간전압 60kV, 주파수 60Hz인 3상 송전선로의 충전전류는 약 몇 A인가?
29번
원자로의 냉각재가 갖추어야 할 조건이 아닌 것은?
30번
접지봉으로 탑각의 접지저항값을 희망하는 접지저항값까지 줄일 수 없을 때 사용하는 것은?
31번
임피던스 Z1, Z2 및 Z3를 그림과 같이 접속한 선로의 A쪽에서 전압파 E가 진행해 왔을 때 접속점 B에서 무반사로 되기 위한 조건은?

32번
선로고장 발생시 고장전류를 차단할 수 없어 리클로저와 같이 차단 기능이 있는 후비보호 장치와 직렬로 설치되어야 하는 장치는?
33번
다중접지 3상 4선식 배전선로에서 고압측(1차측) 중성선과 저압측(2차측) 중성선을 전기적으로 연결하는 목적은?
34번
% 임피던스에 대한 설명으로 틀린 것은?
35번
송전단 전압이 66kV, 수전단 전압이 60kV인 송전선로에서 수전단의 부하를 끊을 경우에 수전단 전압이 63kv가 되었다면 전압 변동률은 몇 %가 되는가?
36번
피뢰기의 직렬 갭(gap)의 작용으로 가장 옳은 것은?
37번
전력선에 의한 통신선로의 전자유도장해 발생요인은 주로 무엇 때문인가??
38번
3000kW, 역률 75%(늦음)의 부하에 전력을 공급하고 있는 변전소에 콘덴서를 설치하여 역률을 93%로 향상시키고자 한다. 필요한 전력용 콘덴서의 용량은 약 몇 kVA인가?
39번
배전계통에서 전력용 콘덴서를 설치하는 목적으로 가장 타당한 것은?
40번
역률 개선용 콘덴서를 부하와 병렬로 연결하고자 한다. Δ결선 방식과 Y결선 방식을 비교하면 콘덴서의 정전용량[μF]의 크기는 어떠한가?
3과목 : 전기기기
41번
유도 전동기의 2차 여자시에 2차 주파수와 같은 주파수의 전압 Ec를 2차에 가한 경우 옳은 것은? (단, sE2 는 유도기의 2차 유도 기전력이다.)
42번
정격이 10HP, 200V인 직류 분권 전동기가 있다. 전부하 전류는 46A, 전기자 저항은 0.25Ω, 계자 저항은 100Ω이며, 브러시 접촉에 의한 전압강하는 2V, 철손과 마찰손을 합쳐 380W이다. 표유부하손을 정격출력의 1%라 한다면 이 전동기의 효율[%]은?(단, 1HP=746W이다.)
43번
자동제어장치에 쓰이는 서보모터의 특성을 나타내는 것 중 틀린 것은?
44번
직류 전동기의 제동법 중 동일 제동법이 아닌 것은?
45번
저항 부하인 사이리스터 단상 반파 정류기로 위상 제어를 할 경우 점호각 0°에서 60°로 하면 다른 조건이 동일한 경우 출력 평균 전압은 몇 배가 되는가?
46번
3상 동기 발전기를 병렬운전 시키는 경우 고려하지 않아도 되는 조건은?
47번
병렬운전을 하고 있는 두 대의 3상 동기 발전기 사이에 무효순환전류가 흐르는 경우는?
48번
단상 변압기에서 전부하의 2차 전압은 100V이고, 전압 변동률은 4%이다. 1차 단자 전압[V]은? (단, 1차와 2차 권선비는 20:1이다.)
49번
유도 전동기의 속도제어법 중 저항제어와 관계가 없는 것은?
50번
변압기 여자회로의 어드미턴스 Y0[℧]를 구하면? (단, I0는 여자전류, Ii는 철손전류, Iø는 자화전류, g0는 콘덕턴스, V1는 인가전압이다.)
51번
전부하 전류 1A, 역률 85%, 속도 7500 rpm이고 전압과 주파수가 100V, 60Hz인 2극 단상 직권 정류자 전동기가 있다. 전기자와 직권 계자 권선의 실효저항의 합이 40Ω이라 할 때 전부하시 속도기전력[V]은? (단, 계자 자속은 정현적으로 변하며 브러시는 중성축에 위치하고 철손은 무시한다.)
52번
10kVA, 2000/100V 변압기에서 1차에 환산한 등가 임피던스는 6.2+j7Ω이다. 이 변압기의 퍼센트 리액턴스 강하는?
53번
농형 유도전동기에 주로 사용되는 속도 제어법은?
54번
역률이 가장 좋은 전동기는?
55번
동기기의 전기자 권선이 매극 매상당 슬롯수가 4, 상수가 3인 권선의 분포계수는 얼마인가? (단, sin7.5°=0.1305, sin15°=0.2588, sin225.°=0.3827, sin30°=0.5)
56번
전압 변동률이 작은 동기 발전기는?
57번
3상 농형 유도전동기를 전전압 기동할 때의 토크는 전부하시의 1/√2배이다. 기동 보상기로 전전압의 1/√3로 기동하면 토크는 전부하 토크의 몇 배가 되는가?(단, 주파수는 일정)
58번
3상 유도전동기의 2차 입력 P2, 슬립이 s일 때의 2차 동손 Pc2은?
59번
게이트 조작에 의해 부하전류 이상으로 유지 전류를 높일수 있어 게이트 턴온, 턴오프가 가능한 사이리스터는?
60번
다음 그림과 같이 단상 변압기를 단권 변압기로 사용한다면 출력단자의 전압[V]은? (단, V1n[V]를 1차 정격전압이라 하고, V2n를 2차 정격 전압이라 한다.)

4과목 : 회로이론 및 제어공학
61번
다음 중 f(t)=e-at의 z변환은?
62번
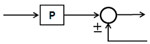
다음은 시스템의 블록선도이다. 이 시스템이 안정한 시스템이 되기 위한 K의 범위는?

63번
f(t)=sintㆍcost 를 라플라스 변환하면?
64번
다음의 블록선도와 같은 것은?

65번
자동제어계의 기본적 구성에서 제어요소는 무엇으로 구성되는가?
66번
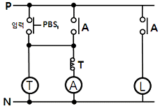
다음과 같은 계전기 회로는 어떤 회로인가?

67번
응답이 최종값의 10%에서 90%까지 되는데 요하는 시간은?
68번
에서 근궤적의 개수는?
에서 근궤적의 개수는?
69번
그림과 같은 RC 회로에서 전압 vi(t)를 입력으로 하고 전압 v0(t)를 출력으로 할 때, 이에 맞는 신호흐름 선도는? (단, 전달함수의 초기값은 0이다.)

70번
의 나이퀴스트 선도는? (단, K > 0 이다.)
의 나이퀴스트 선도는? (단, K > 0 이다.)
71번
대칭 n상에서 선전류와 상전류 사이의 위상차[rad]는?
72번
다음과 같은 왜형파의 실효값은?

73번
어느 소자에 걸리는 전압은 v=3cos3t[V]이고, 흐르는 전류 I=-2sin(3t+10°)[A]이다. 전압과 전류간의 위상차는?
74번
그림과 같은 단위 계단 함수는?

75번
권수가 2000회이고, 저항이 12Ω인 솔레노이드에 전류 10A를 흘릴 때, 자속이 6×10-2[wb]가 발생하였다. 이 회로의 시정수[sec]는?
76번
어떤 2단자쌍 회로망의 Y 파라미터가 그림과 같다. a-a' 단자간에 V1=36V, b-b' 단자간에 V2=24V의 정전압원을 연결하였을 때 I1, I2 값은? (단, Y파라미터의 단위는 이다.)

77번
자기 인덕턴스 0.1H인 코일에 실효값 100V, 60Hz, 위상각 0°인 전압을 가했을 때 흐르는 전류의 실효값은 약 몇 A인가?
78번
2전력계법으로 평형 3상 전력을 측정하였더니 한쪽의 지시가 500W, 다른 한쪽의 지시가 1500W 이었다. 피상 전력은 약 몇 VA인가?
79번
위상 정수가 π/8[rad/m]인 선로의 1Mhz에 대한 전파속도는 몇 m/s인가?
80번
3상 불평형 전압에서 역상전압 50V, 정상전압 250V 및 영상 전압 20V이면, 전압 불평형률은 몇 %인가?
5과목 : 전기설비기술기준 및 판단기준
81번
저압 옥내배선 합성 수지관 공사시 연선이 아닌 경우 사용할 수 있는 전선의 최대 단면적은 몇 mm2 인가?(단, 알루미늄선은 제외한다.)
82번
특고압 가공전선로에서 발생하는 극저주파 전계는 지표상 1m에서 전계가 몇 kV/m 이하가 되도록 시설하여야 하는가?
83번
내부 고장이 발생하는 경우를 대비하여 자동차단장치 또는 경보장치를 시설하여야 하는 특고압용 변압기의 뱅크 용량의 구분으로 알맞은 것은?
84번
사용전압 60kV 이하의 특고압 가공전선로에서 유도 장해를 방지하기 위하여 전화 선로의 길이 12km마다 유도 전류가 몇 μA를 넘지 않아야 하는가?
85번
지지물이 A종 철근 콘크리트주일 때, 고압 가공전선로의 경간은 몇 m 이하인가?
86번
태양전지 모듈에 사용하는 연동선의 최소 단면적[mm2]은?
87번
접지 공사의 종류가 아닌 것은?(관련 규정 개정전 문제로 여기서는 기존 정답인 2번을 누르면 정답 처리됩니다. 자세한 내용은 해설을 참고하세요.)
88번
교류 전차선과 식물 사이의 이격 거리는 몇 m 이상인가?(2021년 변경된 KEC 규정 적용됨)
89번
제 1종 접지공사 또는 제 2종 접지공사에 사용하는 접지선을 사람이 접촉할 우려가 있는 곳에 시설하는 기준으로 틀린 것은?(관련 규정 개정전 문제로 여기서는 기존 정답인 3번을 누르면 정답 처리됩니다. 자세한 내용은 해설을 참고하세요.)
90번
고압 및 특고압 전로 중 전로에 지락이 생긴 경우에 자동적으로 전로를 차단하는 장치를 하지 않아도 되는 곳은?
91번
사무실 건물의 조명설비에 사용되는 백열전등 또는 방전등에 전기를 공급하는 옥내전로의 대지전압은 몇 V 이하인가?
92번
전력보안 통신 설비 시설시 가공전선로로부터 가장 주의 하여야 하는 것은?
93번
가공전선로의 지지물에 하중이 가하여지는 경우에 그 하중을 받는 지지물의 기초 안전율은 특별한 경우를 제외하고 최소 얼마이상인가?
94번
가공 전선로의 지지물에 지선을 시설하려고 한다. 이 지선의 시설기준으로 옳은 것은?
95번
22.9kV의 가공 전선로를 시가지에 시설하는 경우 전선의 지표상 높이는 최소 몇 m 이상인가? (단, 전선은 특고압 절연전선을 사용한다.)
96번
가공전선로의 지지물에 시설하는 지선으로 연선을 사용할 경우 소선은 최소 몇 가닥 이상이어야 하는가?
97번
지중전선로를 직접 매설식에 의하여 시설할 때, 중량물의 압력을 받을 우려가 있는 장소에 지중 전선을 견고한 트라프기타 방호물에 넣지 않고도 부설할 수 있는 케이블은?
98번
중성점 직접 접지식 전로에 연결되는 최대사용전압이 69kV인 전로의 절연내력 시험 전압은 최대 사용전압의 몇배인가?
99번
옥내 저압전선으로 나전선의 사용이 기본적으로 허용되지 않는 것은?
100번
광산 기타 갱도안의 시설에서 고압 배선은 케이블을 사용하고 금속제의 전선 접속함 및 케이블 피복에 사용하는 금속제의 접지공사는 제 몇 종 접지공사인가?(관련 규정 개정전 문제로 여기서는 기존 정답인 1번을 누르면 정답 처리됩니다. 자세한 내용은 해설을 참고하세요.)
연도별
- 2022년04월24일
- 2022년03월05일
- 2021년08월14일
- 2021년05월15일
- 2021년03월07일
- 2020년09월26일
- 2020년08월22일
- 2020년06월06일
- 2019년08월04일
- 2019년04월27일
- 2019년03월03일
- 2018년08월19일
- 2018년04월28일
- 2018년03월04일
- 2017년08월26일
- 2017년05월07일
- 2017년03월05일
- 2016년08월21일
- 2016년05월08일
- 2016년03월06일
- 2015년08월16일
- 2015년05월31일
- 2015년03월08일
- 2014년08월17일
- 2014년05월25일
- 2014년03월02일
- 2013년08월18일
- 2013년06월02일
- 2013년03월10일
- 2012년08월26일
- 2012년05월20일
- 2012년03월04일
- 2011년08월21일
- 2011년06월12일
- 2011년03월20일
- 2010년07월25일
- 2010년05월09일
- 2010년03월07일
- 2009년07월26일
- 2009년05월10일
- 2009년03월01일
- 2008년07월27일
- 2008년05월11일
- 2008년03월02일
- 2007년08월05일
- 2007년05월13일
- 2007년03월04일
- 2006년08월06일
- 2006년05월14일
- 2006년03월05일
- 2005년08월07일
- 2005년05월29일
- 2005년03월06일
- 2004년08월08일
- 2004년05월23일
- 2004년03월07일
- 2003년08월10일
- 2003년05월25일
- 2003년03월16일