전기기사 (2017년05월07일 기출문제)
1과목 : 전기자기학
1번
원통 좌표계에서 전류밀도 j=Kr2az[A/m2]일 때 암페어의 법칙을 사용한 자계의 세기 H[AT/m]는? (단, K는 상수이다.)
2번
최대 정전용량 C0[F]인 그림과 같은 콘덴서의 정전용량이 각도에 비례하여 변화한다고 한다. 이 콘덴서를 전압 V[V]로 충전하였을 때 회전자에 작용하는 토크는?

3번
내부도체 반지름이 10mm, 외부도체의 내반지름이 20mm인 동축케이블에서 내부도체 표면에 전류 I가 흐르고, 얇은 외부도체에 반대 방향인 전류가 흐를 때 단위 길이당 외부 인덕턴스는 약 몇 H/m인가?
4번
무한 평면에 일정한 전류가 표면에 한 방향으로 흐르고 있다. 평면으로부터 r만큼 떨어진 점과 2r만큼 떨어진 점과의 자계의 비는 얼마인가?
5번
어떤 공간의 비유전율은 2이고, 전위
이라고 할 때 점 (1/2,2)에서의 전하밀도 p는 약 몇 pC/m3인가?
이라고 할 때 점 (1/2,2)에서의 전하밀도 p는 약 몇 pC/m3인가?
6번
그림과 같은 히스테리시스 루프를 가진 철심이 강한 평등자계에 의해 매초 60Hz로 자화할 경우 히스테리시스 손실은 몇 W인가? (단, 철심의 체적은 20cm3,Bt=5Wb/m2, HC=2AT/m이다.)

7번
그림과 같이 직각 코일이
인 자계에 위치하고 있다. 코일에 5A 전류가 흐를 때 z축에서의 토크는 약 몇 N ㆍ m 인가?
인 자계에 위치하고 있다. 코일에 5A 전류가 흐를 때 z축에서의 토크는 약 몇 N ㆍ m 인가?
8번
그림과 같이 무한평면 도체 앞 a[m] 거리에 점전하 Q[C]가 있다. 점 0에서 x[m]인 P점의 전하밀도 σ[C/m2]는?

9번
유전율 ℇ=8.855×10-12[F/m]인 진공 중을 전자파가 전파할 때 진공 중의 투자율[H/m]은?
10번
막대자석 위쪽에 동축 도체 원판을 놓고 회로의 한 끝은 원판의 주변에 접촉시켜 회전하도록 해 놓은 그림과 같은 패러데이 원판 실험을 할 때 검류계에 전류가 흐르지 않는 경우는?

11번
점전하에 의한 전계의 세기[V/m]를 나타내는 식은? (단, r은 거리, Q는 전하량, λ는 선전하 밀도, σ는 표면전하 밀도이다.)
12번
유전율 ℇ, 투자율 μ인 매질에서의 전파속도 v는?
13번
전계 E[V/m], 전속밀도 D[C/m2], 유전율 ℇ=ℇ0ℇS[F/m], 분극의 세기 P[C/m2] 사이의 관계는?
14번
서로 결합하고 있는 두 코일 C1과 C2의 자기인덕턴스가 각각 LC1, LC2라고 한다. 이 둘을 직렬로 연결하여 합성인덕턴스 값을 얻은 후 두 코일간 상호인덕턴스의 크기(M)를 얻고자 한다. 직렬로 연결할 때, 두 코일간 자속이 서로 가해져서 보강되는 방향의 합성인덕턴스의 값이 L1 서로 상쇄되는 방향의 합성 인덕턴스의 값이 L2일 때, 다음 중 알맞은 식은?
15번
정전용량이 C0[F]인 평행판 공기 콘덴서가 있다. 이것의 극판에 평행으로 판간격 d[m]의 1/2 두께인 유리판을 삽입하였을때의 정전용량[F]은? (단, 유리판의 유전율은 ℇ[F/m]이라 한다.)
16번
벡터 포텐샬
일 때의 자계의 세기 H[A/m]는? (단, μ는 투자율이라 한다.)
일 때의 자계의 세기 H[A/m]는? (단, μ는 투자율이라 한다.)
17번
자기회로에서 자기 저항의 관계로 옳은 것은?
18번
그림과 같은 길이가 1m인 동축 원통 사이의 정전용량[F/m]]은?

19번
철심이 든 환상 솔레노이드의 권수는 500회, 평균 반지름은 10㎝, 철심의 단면적은 10cm2, 비투자율 4000이다. 이 환상 솔레노이드에 2A의 전류를 흘릴 때, 철심 내의 자속[Wb]은?
20번
그림과 같은 정방형관 단면의 격자점 ⑥의 전위를 반복법으로 구하면 약 몇 V 인가?

2과목 : 전력공학
21번
동기조상기[A]와 전력용 콘덴서[B]를 비교한 것으로 옳은 것은?
22번
어떤 공장의 소모 전력이 100kW이며, 이 부하의 역률이 0.6일 때, 역률을 0.9로 개선하기 위한 전력용 콘덴서의 용량은 약 몇 kVA인가?
23번
수력 발전소에서 사용되는 수차 중 15m 이하의 저낙차에 적합하여 조력 발전용으로 알맞은 수차는?
24번
어떤 화력발전소에서 과열기 출구의 증기압이 169kg/cm2]이다. 이것은 약 몇 atm 인가?
25번
가공 송전선로를 가선할 때에는 하중 조건과 온도 조건을 고려하여 적당한 이도(dip)를 주도록 하여야 한다. 이도에 대한 설명으로 옳은 것은?
26번
승압기에 의하여 전압 Ve에서 Vh로 승압할 때, 2차 정격전압 e, 자기용량 W인 단상 승압기가 공급할 수 있는 부하 용량은?
27번
일반적으로 부하의 역률을 저하시키는 원인은?
28번
송전단 전압을 VS, 수전단 전압을 Vr, 선로의 리액턴스를 X라 할 때, 정상 시의 최대 송전전력의 개략적인 값은?
29번
가공지선의 설치 목적이 아닌 것은?
30번
피뢰기가 방전을 개시할 때의 단자 전압의 순시값을 방전 개시 전압이라 한다. 방전 중의 단자 전압의 파고값을 무엇이라 하는가?
31번
송전 계통의 한 부분이 그림과 같이 3상 변압기로 1차측은 △로, 2차측은 Y로 중성점이 접지되어 있을 경우, 1차측에 흐르는 영상전류는?

32번
배전선로에 관한 설명으로 틀린 것은?
33번
수차 발전기에 제동권선을 설치하는 주된 목적은?
34번
3상 3선식 가공전선로에서 한 선의 저항은 15Ω, 리액턴스는 20Ω이고, 수전단 선간전압은 30kV, 부하역률은 0.8(뒤짐)이다. 전압강하율을 10%라 하면, 이 송전선로는 몇 kW까지 수전할 수 있는가?
35번
송전선로에서 사용하는 변압기 결선에 △결선이 포함되어 있는 이유는?
36번
교류 송전 방식과 비교하여 직류 송전 방식의 설명이 아닌 것은?
37번
전압 66000V, 주파수 60Hz, 길이 15km, 심선 1선당 작용 정전용량 0.3587㎌/㎞인 한 선당 지중 전선로의 3상 무부하 충전전류는 약 몇 A인가? (단, 정전용량 이외의 선로정수는 무시한다.)
38번
전력계통에서 사용되고 있는 GCB(Gas Circuit Breaker)용 가스는?
39번
차단기와 아크 소호원리가 바르지 않은 것은?
40번
네트워크 배전 방식의 설명으로 옳지 않은 것은?
3과목 : 전기기기
41번
정류회로에 사용되는 환류다이오드(free wheeling diode)에 대한 설명으로 틀린 것은?
42번
3상 변압기를 병렬운전하는 경우 불가능한 조합은?
43번
3상 직권 정류자 전동기에 중간(직렬)변압기가 쓰이고 있는 이유가 아닌 것은?
44번
직류 분권 전동기를 무부하로 운전 중 계자 회로에 단선이 생긴 경우 발생하는 현상으로 옳은 것은?
45번
변압기에 있어서 부하와는 관계없이 자속만을 발생시키는 전류는?
46번
직류 전동기의 규약 효율을 나타낸 식으로 옳은 것은?
47번
직류 전동기에서 정속도 전동기라고 볼 수 있는 전동기는?
48번
단상 유도전동기의 기동 방법 중 기동 토크가 가장 큰 것은?
49번
부흐홀츠 계전기에 대한 설명으로 틀린 것은?
50번
직류기에서 정류코일의 자기 인덕턴스를 L이라 할 때 정류코일의 전류가 정류주기 TC 사이에 IC에서 -IC로 변한다면 정류 코일의 리액턴스 전압[V]의 평균값은?
51번
일반적인 전동기에 비하여 리니어 전동기의 장점이 아닌 것은?
52번
직류를 다른 전압의 직류로 변환하는 전력변환 기기는?
53번
와전류 손실을 패러데이 법칙으로 설명한 과정 중 틀린 것은?
54번
주파수가 정격보다 3% 감소하고 동시에 전압이 정격보다 3% 상승된 전원에서 운전되는 변압기가 있다. 철손이
에 비례한다면 이 변압기 철손은 정격 상태에 비하여 어떻게 달라지는가? (단, f : 주파수, Bm : 자속밀도 최대치이다.)
에 비례한다면 이 변압기 철손은 정격 상태에 비하여 어떻게 달라지는가? (단, f : 주파수, Bm : 자속밀도 최대치이다.)
55번
교류정류자기에서 갭의 자속분포가 정현파로 øm=0.14Wb, P=2, a=1, Z=200, n=1200rpm인 경우 브러시 축이 자극축과 30°라면, 속도 기전력의 실효값 ES는 약 몇 V인가?
56번
역률 0.85의 부하 350kW에 50kW를 소비하는 동기 전동기를 병렬로 접속하여 합성 부하의 역률을 0.95로 개선하려면 진상 무효 전력은 약 몇 kVar인가?
57번
변압기의 무부하시험, 단락시험에서 구할 수 없는 것은?
58번
3상 동기 발전기의 단락곡선이 직선으로 되는 이유는?
59번
정격출력 5000kVA, 정격전압 3.3kV, 동기 임피던스가 매상 1.8Ω인 3상 동기 발전기의 단락비는 약 얼마인가?
60번
동기기의 회전자에 의한 분류가 아닌 것은?
4과목 : 회로이론 및 제어공학
61번
기준 입력과 주궤환량과의 차로서, 제어계의 동작을 일으키는 원인이 되는 신호는?
62번
폐루프 전달함수 C(s)/R(s)가 다음과 같은 2차 제어계에 대한 설명 중 틀린 것은?

63번
3차인 이산치 시스템의 특성 방정식의 근이 –0.3, -0.2, +0.5로 주어져 있다. 이 시스템의 안정도는?
64번
다음의 특성 방정식을 Routh-Hurwitz 방법으로 안정도를 판별하고자 한다. 이때 안정도를 판별하기 위하여 가장 잘 해석한 것은 어느 것인가?

65번
전달함수
일 때 근궤적의 수는?
일 때 근궤적의 수는?
66번
다음의 미분 방정식을 신호 흐름 선도에 옳게 나타낸 것은? (단,
로 표시한다.)
로 표시한다.)
67번
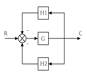
다음 블록선도의 전체 전달함수가 1이 되기 위한 조건은?

68번
특성 방정식의 모든 근이 s 복소평면의 좌반면에 있으면 이 계는 어떠한가?
69번
그림의 회로는 어느 게이트(gate)에 해당되는가?

70번
전달함수가
로 주어진 시스템의 단위 임펄스 응답은?
로 주어진 시스템의 단위 임펄스 응답은?
71번
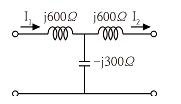
다음과 같은 회로망에서 영상파라미터(영상전달정수) θ는?

72번
△결선된 대칭 3상 부하가 있다. 역률이 0.8(지상)이고 소비전력이 1800W이다. 선로의 저항 0.5Ω에서 발생하는 선로 손실이 50W이면 부하단자 전압[V]은?
73번
E=40+j30[V]의 전압을 가하면 I=30+j10[A]의 전류가 흐르는 회로의 역률은?
74번
그림과 같은 회로에서 스위치 S를 닫았을 때, 과도분을 포함하지 않기 위한 R[Ω]은?

75번
분포정수 회로에서 직렬 임피던스를 Z, 병렬 어드미턴스를 Y라 할 때, 선로의 특성임피던스 Z0는?
76번
다음과 같은 회로의 공진시 어드미턴스는?

77번
그림과 같은 회로에서 전류 I[A]는?

78번
로 주어졌을 때 F(s)의 역변환은?
로 주어졌을 때 F(s)의 역변환은?
79번
인 전압을 R-L 직렬 회로에 가할 때 제 5고조파 전류의 실효값은 약 몇 [A]인가? (단, R=12Ω, wL=1Ω 이다.)
인 전압을 R-L 직렬 회로에 가할 때 제 5고조파 전류의 실효값은 약 몇 [A]인가? (단, R=12Ω, wL=1Ω 이다.)
80번
그림과 같은 파형의 전압 순시값은?

5과목 : 전기설비기술기준 및 판단기준
81번
가공전선로의 지지물에 시설하는 지선에 관한 사항으로 옳은 것은?(오류 신고가 접수된 문제입니다. 반드시 정답과 해설을 확인하시기 바랍니다.)
82번
옥내배선의 사용 전압이 400V 미만일 때 전광표시 장치 · 출퇴 표시등 기타이와 유사한 장치 또는 제어회로 등의 배선에 다심 케이블을 시설하는 경우 배선의 단면적은 몇mm2 이상인가?
83번
154kV 가공 송전선로를 제1종 특고압 보안공사로 할 때 사용되는 경동연선의 굵기는 몇 mm2 이상인가?(오류 신고가 접수된 문제입니다. 반드시 정답과 해설을 확인하시기 바랍니다.)
84번
일반적으로 저압 옥내 간선에서 분기하여 전기사용기계기구에 이르는 저압 옥내 전로는 저압 옥내간선과의 분기점에서 전선의 길이가 몇 m 이하인 곳에 개폐기 및 과전류 차단기를 시설하여야 하는가?
85번
전동기 과부하 보호 장치의 시설에서 전원측 전로에 시설한 배선용 차단기의 정격 전류가 몇 A 이하의 것이면 이 전로에 접속하는 단상 전동기에는 과부하 보호 장치를 생략할 수 있는가?
86번
사용전압이 35kV 이하인 특고압 가공전선과 가공 약전류 전선 등을 동일 지지물에 시설하는 경우, 특고압 가공전선로는 어떤 종류의 보안 공사로 하여야 하는가?
87번
사용전압이 고압인 전로의 전선으로 사용할 수 없는 케이블은?
88번
가로등, 경기장, 공장, 아파트 단지 등의 일반 조명을 위하여 시설하는 고압 방전등은 그 효율이 몇 lm/W 이상의 것이어야 하는가?(오류 신고가 접수된 문제입니다. 반드시 정답과 해설을 확인하시기 바랍니다.)
89번
제1종 접지공사의 접지선의 굵기는 공칭단면적 몇 mm2 이상의 연동선이어야 하는가?(관련 규정 개정전 문제로 여기서는 기존 정답인 3번을 누르면 정답 처리됩니다. 자세한 내용은 해설을 참고하세요.)
90번
금속관 공사에서 절연부싱을 사용하는 가장 주된 목적은?
91번
최대 사용전압이 3.3kV인 차단기 전로의 절연내력 시험전압은 몇 V인가?
92번
관·암거·기타 지중전선을 넣은 방호장치의 금속제부분(케이블을 지지하는 금구류는 제외한다.) 및 지중전선의 피복으로 사용하는 금속체에는 몇 종 접지공사를 하여야 하는가?(관련 규정 개정전 문제로 여기서는 기존 정답인 3번을 누르면 정답 처리됩니다. 자세한 내용은 해설을 참고하세요.)
93번
가반형(이동형)의 용접전극을 사용하는 아크 용접장치를 시설할 때 용접 변압기의 1차측 전로의 대지전압은 몇 V 이하이어야 하는가?
94번
지중전선로를 직접 매설식에 의하여 차량 기타 중량물의 압력을 받을 우려가 있는 장소에 시설할 경우에는 그 매설 깊이를 최소 몇 m 이상으로 하여야 하는가?(관련 규정 개정전 문제로 여기서는 기존 정답인 2번을 누르면 정답 처리됩니다. 자세한 내용은 해설을 참고하세요.)
95번
사용전압이 22.9kV인 특고압 가공전선과 그 지지물·완금류·지주 또는 지선 사이의 이격거리는 몇 cm 이상이어야 하는가?
96번
건조한 장소로서 전개된 장소에 고압 옥내배선을 시설할 수 있는 공사방법은?
97번
제3종 접지공사를 하여야 할 곳은?(관련 규정 개정전 문제로 여기서는 기존 정답인 2번을 누르면 정답 처리됩니다. 자세한 내용은 해설을 참고하세요.)
98번
전기철도에서 배류시설에 강제 배류기를 사용할 경우 시설방법에 대한 설명으로 틀린 것은?(오류 신고가 접수된 문제입니다. 반드시 정답과 해설을 확인하시기 바랍니다.)
99번
고압 가공전선에 케이블을 사용하는 경우 케이블을 조가용선에 행거로 시설하고자 할 때 행거의 간격은 몇 cm 이하로 하여야 하는가?
100번
고압 가공전선로의 지지물에 시설하는 통신선의 높이는 도로를 횡단하는 경우 교통에 지장을 줄 우려가 없다면 지표상 몇 m까지로 감할 수 있는가?
연도별
- 2022년04월24일
- 2022년03월05일
- 2021년08월14일
- 2021년05월15일
- 2021년03월07일
- 2020년09월26일
- 2020년08월22일
- 2020년06월06일
- 2019년08월04일
- 2019년04월27일
- 2019년03월03일
- 2018년08월19일
- 2018년04월28일
- 2018년03월04일
- 2017년08월26일
- 2017년05월07일
- 2017년03월05일
- 2016년08월21일
- 2016년05월08일
- 2016년03월06일
- 2015년08월16일
- 2015년05월31일
- 2015년03월08일
- 2014년08월17일
- 2014년05월25일
- 2014년03월02일
- 2013년08월18일
- 2013년06월02일
- 2013년03월10일
- 2012년08월26일
- 2012년05월20일
- 2012년03월04일
- 2011년08월21일
- 2011년06월12일
- 2011년03월20일
- 2010년07월25일
- 2010년05월09일
- 2010년03월07일
- 2009년07월26일
- 2009년05월10일
- 2009년03월01일
- 2008년07월27일
- 2008년05월11일
- 2008년03월02일
- 2007년08월05일
- 2007년05월13일
- 2007년03월04일
- 2006년08월06일
- 2006년05월14일
- 2006년03월05일
- 2005년08월07일
- 2005년05월29일
- 2005년03월06일
- 2004년08월08일
- 2004년05월23일
- 2004년03월07일
- 2003년08월10일
- 2003년05월25일
- 2003년03월16일