전기기사 (2021년05월15일 기출문제)
1과목 : 전기자기학
1번
전기력선의 성질에 대한 설명으로 옳은 것은?
2번
유전율 ε, 전계의 세기 E인 유전체의 단위 체적당 축적되는 정전에너지는?
3번
와전류가 이용되고 있는 것은?
4번
전계
(V/m)에서 점(3,5)m를 통과하는 전기력선의 방정식은? (단,
는 단위벡터이다.)
(V/m)에서 점(3,5)m를 통과하는 전기력선의 방정식은? (단,
는 단위벡터이다.)
5번
단면적이 균일한 환상철심에 권수 NA인 A코일과 권수 NB인 B코일이 있을 때, B코일의 자기 인덕턴스가 LA(H)라면 두 코일의 상호 인덕턴스(H)는? (단, 누설자속은 0이다.)
6번
평등자계와 직각방향으로 일정한 속도로 발사된 전자의 원운동에 관한 설명으로 옳은 것은?
7번
전계 E(V/m)가 두 유전체의 경계면에 평행으로 작용하는 경우 경계면에 단위면적당 작용하는 힘의 크기는 몇 N/m2인가? (단, ɛ1, ɛ2는 각 유전체의 유전율이다.)
8번
진공 중의 평등자계 H0 중에 반지름이 a(m)이고, 투자율이 μ인 구 자성체가 있다. 이 구 자성체의 감자율은? (단, 구 자성체 내부의 자계는
이다.)
이다.)
9번
진공 중에 서로 떨어져 있는 두 도체 A, B가 있다. 도체 A에만 1C의 전하를 줄 때, 도체 A, B의 전위가 각각 3V, 2V이었다. 지금 도체 A, B에 각각 1C과 2C의 전하를 주면 도체 A의 전위는 몇 V인가?
10번
진공 중에 놓인 Q(C)의 전하에서 발산되는 전기력선의 수는?
11번
비투자율이 50인 환상 철심을 이용하여 100cm 길이의 자기회로를 구성할 때 자기저항을 2.0×107AT/Wb 이하로 하기 위해서는 철심의 단면적을 약 몇 m2이상으로 하여야 하는가?
12번
한 변의 길이가 4m인 정사각형의 루프에 1A의 전류가 흐를 때, 중심점에서의 자속밀도 B는 약 몇 Wb/m2인가?
13번
비투자율이 350인 환상철심 내부의 평균 자계의 세기가 342AT/m일 때 자화의 세기는 약 몇 Wb/m2인가?
14번
전계 (V/m)
의 평면 전자파가 있다. 진공 중에서 자계의 실효값은 몇 A/m인가?
의 평면 전자파가 있다. 진공 중에서 자계의 실효값은 몇 A/m인가?
15번
공기 중에서 반지름 0.03m의 구도체에 줄 수 있는 최대 전하는 약 몇 C인가? (단, 이 구도체의 주위 공기에 대한 절연내력은 5×106V/m이다.)
16번
공기 중에서 전자기파의 파장이 3m라면 그 주파수는 몇 MHz인가?
17번
두 종류의 유전율(ɛ1, ɛ2)을 가진 유전체가 서로 접하고 있는 경계면에 진전하가 존재하지 않을 때 성립하는 경계조건으로 옳은 것은? (단, E1, E2는 각 유전체에서의 전계이고, D1, D2는 각 유전체에서의 전속밀도이고, θ1, θ2는 각각 경계면의 법선벡터와 E1, E2가 이루는 각이다.)
18번
공기 중에 있는 반지름 a(m)의 독립 금속구의 정전용량은 몇 F인가?
19번
자속밀도가 10Wb/m2인 자계 중에 10cm 도체를 자계와 60°의 각도로 30m/s로 움직일 때, 이 도체에 유기되는 기전력은 몇 V인가?
20번
원점에 1μC의 점전하가 있을 때 점 P(2, -2, 4)m에서의 전계의 세기에 대한 단위벡터는 약 얼마인가?
2과목 : 전력공학
21번
가공송전선로에서 총 단면적이 같은 경우 단도체와 비교하여 복도체의 장점이 아닌 것은?
22번
역률 0.8(지상)의 2800kW 부하에 전력용 콘덴서를 병렬로 접속하여 합성역률을 0.9로 개선하고자 할 경우, 필요한 전력용 콘덴서의 용량(kVA)은 약 얼마인가?
23번
컴퓨터에 의한 전력조류 계산에서 슬랙(slack)모선의 초기치로 지정하는 값은?
24번
3상용 차단기의 정격 차단 용량은?
25번
증기터빈내에서 팽창 도중에 있는 증기를 일부 추기하여 그것이 갖는 열을 급수가열에 이용하는 열사이클은?
26번
부하전류 차단이 불가능한 전력개폐 장치는?
27번
전력계통에서 내부 이상전압의 크기가 가장 큰 경우는?
28번
그림과 같은 송전계통에서 S점에 3상 단락사고가 발생했을 때 단락전류(A)는 약 얼마인가? (단, 선로의 길이와 리액턴스는 각각 50㎞, 0.6Ω/㎞이다.)

29번
저압배전선로에 대한 설명으로 틀린 것은?
30번
망상(network)배전방식의 장점이 아닌 것은?
31번
500kVA의 단상 변압기 상용 3대(결선 △-△), 예비 1대를 갖는 변전소가 있다. 부하의 증가로 인하여 예비 변압기까지 동원해서 사용한다면 응할 수 있는 최대부하(kVA)는 약 얼마인가?
32번
직격뢰에 대한 방호설비로 가장 적당한 것은?
33번
최대수용전력이 3kW인 수용가가 3세대, 5kW인 수용가가 6세대라고 할 때, 이 수용가군에 전력을 공급할 수 있는 주상변압기의 최소 용량(kVA)은? (단, 역률은 1, 수용가간의 부등률은 1.3이다.)
34번
배전용 변전소의 주변압기로 주로 사용되는 것은?
35번
비등수형 원자로의 특징에 대한 설명으로 틀린 것은?
36번
송전단 전압을 Vs, 수전단 전압을 Vr, 선로의 리액턴스를 X라 할 때, 정상 시의 최대 송전전력의 개략적인 값은?
37번
3상 3선식 송전선로에서 각 선의 대지정전용량이 0.5096㎌이고, 선간정전용량이 0.1295㎌일 때, 1선의 작용정전용량은 약 몇 ㎌인가?
38번
전력계통의 전압을 조정하는 가장 보편적인 방법은?
39번
선로, 기기 등의 절연 수준 저감 및 전력용 변압기의 단절연을 모두 행할 수 있는 중성점 접지방식은?
40번
단상 2선식 배전선로의 말단에 지상역률 cosθ인 부하 P(kW)가 접속되어 있고 선로말단의 전압은 V(V)이다. 선로 한 가닥의 저항을 R(Ω)이라 할 때 송전단의 공급전력(kW)은?
3과목 : 전기기기
41번
부하전류가 크지 않을 때 직류 직권전동기 발생 토크는? (단, 자기회로가 불포화인 경우이다.)
42번
동기발전기의 병렬운전 조건에서 같지 않아도 되는 것은?
43번
다이오드를 사용하는 정류회로에서 과대한 부하전류로 인하여 다이오드가 소손될 우려가 있을 때 가장 적절한 조치는 어느 것인가?
44번
변압기의 권수를 N이라고 할 때 누설리액턴스는?
45번
50Hz, 12극의 3상 유도전동기가 10HP의 정격출력을 내고 있을 때, 회전수는 약 몇 rpm인가? (단, 회전자 동손은 350W이고, 회전자 입력은 회전자 동손과 정격 출력의 합이다.)
46번
8극, 900rpm 동기발전기와 병렬 운전하는 6극 동기발전기의 회전수는 몇 rpm 인가?
47번
극수가 4극이고 전기자권선이 단중 중권인 직류발전기의 전기자전류가 40A이면 전기자권선의 각 병렬회로에 흐르는 전류(A)는?
48번
변압기에서 생기는 철손 중 와류손(Eddy Current Loss)은 철심의 규소강판 두께와 어떤 관계에 있는가?
49번
2전동기설에 의하여 단상 유도전동기의 가상적 2개의 회전자 중 정방향에 회전하는 회전자 슬립이 s이면 역방향에 회전하는 가상적 회전자의 슬립은 어떻게 표시되는가?
50번
어떤 직류전동기가 역기전력 200V, 매분 1200회전으로 토크 158.76Nㆍm를 발생하고 있을 때의 전기자 전류는 약 몇 A 인가? (단, 기계손 및 철손은 무시한다.)
51번
와전류 손실을 패러데이 법칙으로 설명한 과정 중 틀린 것은?
52번
동기발전기에서 동기속도와 극수와의 관계를 옳게 표시한 것은? (단, N:동기속도, P:극수이다.)
53번
일반적인 DC 서보모터의 제어에 속하지 않는 것은?
54번
변압기 단락시험에서 변압기의 임피던스 전압이란?
55번
변압기의 주요 시험항목 중 전압변동률 계산에 필요한 수치를 얻기 위한 필수적인 시험은?
56번
단상 정류자전동기의 일종인 단상 반발전동기에 해당되는 것은?
57번
3상 농형 유도전동기의 전전압 기동토크는 전부하토크의 1.8배이다. 이 전동기에 기동보상기를 사용하여 기동전압을 전전압의 2/3로 낮추어 기동하면, 기동토크는 전부하토크 T와 어떤 관계인가?
58번
부스트(Boost)컨버터의 입력전압이 45V로 일정하고, 스위칭 주기가 20kHz, 듀티비(Duty ratio)가 0.6, 부하저항이 10Ω일 때 출력전압은 몇 V 인가? (단, 인덕터에는 일정한 전류가 흐르고 커패시터 출력전압의 리플성분은 무시한다.)
59번
동기전동기에 대한 설명으로 틀린 것은?
60번
10kW, 3상, 380V 유도전동기의 전부하 전류는 약 몇 A 인가? (단, 전동기의 효율은 85%, 역률은 85%이다.)
4과목 : 회로이론 및 제어공학
61번
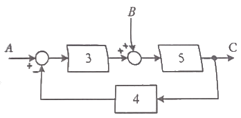
그림의 블록선도와 같이 표현되는 제어시스템에서 A=1, B=1일 때, 블록선도의 출력 C는 약 얼마인가?

62번
제어요소가 제어대상에 주는 양은?
63번
다음과 같은 상태방정식으로 표현되는 제어시스템의 특성방정식의 근(s1, s2)은?

64번
전달함수가
인 제어기가 있다. 이 제어기는 어떤 제어기인가?
인 제어기가 있다. 이 제어기는 어떤 제어기인가?
65번
제어시스템의 주파수 전달함수가 G(jw)=j5w이고, 주파수가 w=0.02rad/sec일 때 이 제어시스템의 이득(dB)은?
66번
전달함수가
인 제어시스템의 과도 응답 특성은?
인 제어시스템의 과도 응답 특성은?
67번
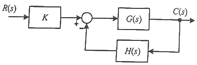
그림과 같은 제어시스템이 안정하기 위한 k의 범위는?

68번
그림과 같은 제어시스템의 폐루프 전달함수
에 대한 감도
는?
에 대한 감도
는?
69번
함수 f(t)=e-at의 z변환 함수 F(z)는?
70번
다음 논리회로의 출력 Y는?

71번
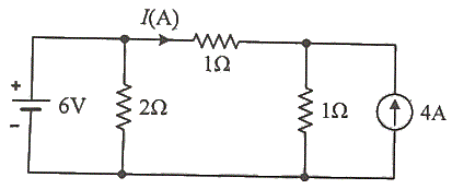
회로에서 저항 1Ω에 흐르는 전류 I(A)는?

72번
그림과 같은 평형 3상회로에서 전원 전압이 Vab=200(V)이고 부하 한상의 임피던스가 Z=4+j3(Ω)인 경우 전원과 부하사이 선전류 Ia는 약 몇 A인가?

73번
전압 v(t)=14.14sinωt+7.07sin(3ωt+π/6)(V)의 실효값은 약 몇 V인가?
74번
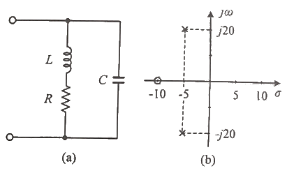
그림 (a)와 같은 회로에 대한 구동점 임피던스의 극점과 영점이 각각 그림 (b)에 나타낸 것과 같고 Z(0)=1일 때, 이 회로에서 R(Ω), L(H), C(F)의 값은?

75번
파형이 톱니파인 경우 파형률은 약 얼마인가?
76번
정상상태에서 t=0초인 순간에 스위치 S를 열었다. 이 때 흐르는 전류 i(t)는?

77번
무한장 무손실 전송선로의 임의의 위치에서 전압이 100V이었다. 이 선로의 인덕턴스가 7.5μH/m이고, 커패시턴스가 0.012㎌/m일 때 이 위치에서 전류(A)는?
78번
선간전압이 150V, 선전류가 10√3A, 역률이 80%인 평형 3상 유도성 부하로 공급되는 무효전력(var)은?
79번
그림과 같은 함수의 라플라스 변환은?

80번
상의 순서가 a-b-c인 불평형 3상 전류가 Ia=15+j2(A), Ib=-20-j14(A), Ic=-3+j10(A)일 때 영상분 전류 I0는 약 몇 A인가?
5과목 : 전기설비기술기준 및 판단기준
81번
플로어덕트공사에 의한 저압 옥내배선에서 연선을 사용하지 않아도 되는 전선(동선)의 단면적은 최대 몇 mm2인가?
82번
전기설비기술기준에서 정하는 안전원칙에 대한 내용으로 틀린 것은?
83번
아파트 세대 욕실에 “비데용 콘센트”를 시설하고자 한다. 다음의 시설방법 중 적합하지 않은 것은?
84번
특고압용 타냉식 변압기의 냉각장치에 고장이 생긴 경우를 대비하여 어떤 보호장치를 하여야 하는가?
85번
하나 또는 복합하여 시설하여야 하는 접지극의 방법으로 틀린 것은?
86번
옥내 배선공사 중 반드시 절연전선을 사용하지 않아도 되는 공사방법은? (단, 옥외용 비닐절연전선은 제외한다.)
87번
지중 전선로를 직접 매설식에 의하여 차량 기타 중량물의 압력을 받을 우려가 있는 장소에 시설하는 경우 매설 깊이는 몇 m이상으로 하여야 하는가?
88번
돌침, 수평도체, 메시도체의 요소 중에 한 가지 또는 이를 조합한 형식으로 시설하는 것은?
89번
변전소의 주요 변압기에 계측장치를 시설하여 측정하여야 하는 것이 아닌 것은?
90번
풍력터빈에 설비의 손상을 방지하기 위하여 시설하는 운전상태를 계측하는 계측장치로 틀린 것은?
91번
일반 주택의 저압 옥내배선을 점검하였더니 다음과 같이 시설되어 있었을 경우 시설기준에 적합하지 않은 것은?
92번
사용전압이 170kV 이하의 변압기를 시설하는 변전소로서 기술원이 상주하여 감시하지는 않으나 수시로 순회하는 경우, 기술원이 상주하는 장소에 경보장치를 시설하지 않아도 되는 경우는?
93번
특고압 가공전선로의 지지물로 사용하는 B종 철주, B종 철근콘크리트주 또는 철탑의 종류에서 전선로의 지지물 양쪽의 경간의 차가 큰 곳에 사용하는 것은?
94번
전식방지대책에서 매설금속체측의 누설전류에 의한 전식의 피해가 예상되는 곳에 고려하여야 하는 방법으로 틀린 것은?
95번
시가지에 시설하는 사용전압 170kV 이하인 특고압 가공전선로의 지지물이 철탑이고 전선이 수평으로 2 이상 있는 경우에 전선 상호간의 간격이 4m 미만인 때에는 특고압 가공전선로의 경간은 몇 m 이하이어야 하는가?
96번
전압의 종별에서 교류 600V는 무엇으로 분류하는가?
97번
다음 ( )에 들어갈 내용으로 옳은 것은?

98번
사용전압이 154kV인 전선로를 제1종 특고압 보안공사로 시설할 때 경동연선의 굵기는 몇 mm2 이상이어야 하는가?
99번
지중 전선로에 사용하는 지중함의 시설기준으로 틀린 것은?
100번
고압 가공전선로의 가공지선에 나경동선을 사용하려면 지름 몇 mm 이상의 것을 사용하여야하는가?
연도별
- 2022년04월24일
- 2022년03월05일
- 2021년08월14일
- 2021년05월15일
- 2021년03월07일
- 2020년09월26일
- 2020년08월22일
- 2020년06월06일
- 2019년08월04일
- 2019년04월27일
- 2019년03월03일
- 2018년08월19일
- 2018년04월28일
- 2018년03월04일
- 2017년08월26일
- 2017년05월07일
- 2017년03월05일
- 2016년08월21일
- 2016년05월08일
- 2016년03월06일
- 2015년08월16일
- 2015년05월31일
- 2015년03월08일
- 2014년08월17일
- 2014년05월25일
- 2014년03월02일
- 2013년08월18일
- 2013년06월02일
- 2013년03월10일
- 2012년08월26일
- 2012년05월20일
- 2012년03월04일
- 2011년08월21일
- 2011년06월12일
- 2011년03월20일
- 2010년07월25일
- 2010년05월09일
- 2010년03월07일
- 2009년07월26일
- 2009년05월10일
- 2009년03월01일
- 2008년07월27일
- 2008년05월11일
- 2008년03월02일
- 2007년08월05일
- 2007년05월13일
- 2007년03월04일
- 2006년08월06일
- 2006년05월14일
- 2006년03월05일
- 2005년08월07일
- 2005년05월29일
- 2005년03월06일
- 2004년08월08일
- 2004년05월23일
- 2004년03월07일
- 2003년08월10일
- 2003년05월25일
- 2003년03월16일