2010년03월07일 75번
[회로이론 및 제어공학] 그림과 같은 신호흐름 선도에서 전달함수 C(s)/R(s)는?

-
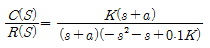
①
-
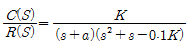
②
-
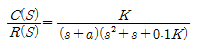
③
-
④
(정답률: 12%)
문제 해설
전달함수 C(s)/R(s)는 입력신호 R(s)가 출력신호 C(s)로 어떻게 전달되는지를 나타내는 함수입니다. 그림에서는 입력신호 R(s)가 먼저 1/s 블록을 거쳐 출력신호 C1(s)가 되고, 이후 C1(s)가 다시 1/s 블록을 거쳐 최종적으로 출력신호 C(s)가 됩니다. 따라서 전달함수 C(s)/R(s)는 1/s * 1/s = 1/s^2가 됩니다. 따라서 정답은 "
"입니다.
"입니다.연도별
- 2022년04월24일
- 2022년03월05일
- 2021년09월12일
- 2021년05월15일
- 2021년03월07일
- 2020년09월26일
- 2020년08월22일
- 2020년06월06일
- 2019년09월21일
- 2019년04월27일
- 2019년03월03일
- 2018년09월15일
- 2018년04월28일
- 2018년03월04일
- 2017년09월23일
- 2017년05월07일
- 2017년03월05일
- 2016년10월01일
- 2016년05월08일
- 2016년03월06일
- 2015년09월20일
- 2015년05월31일
- 2015년03월08일
- 2014년09월20일
- 2014년05월25일
- 2014년03월02일
- 2013년09월28일
- 2013년06월02일
- 2013년03월10일
- 2012년09월15일
- 2012년05월20일
- 2012년03월10일
- 2011년10월02일
- 2011년06월12일
- 2011년03월20일
- 2010년09월05일
- 2010년05월10일
- 2010년03월07일
- 2009년08월30일
- 2009년05월10일
- 2009년03월01일
- 2008년09월07일
- 2008년05월11일
- 2008년03월02일
- 2007년09월02일
- 2007년05월13일
- 2007년03월04일
- 2006년09월10일
- 2006년05월14일
- 2006년03월05일
- 2005년09월04일
- 2005년05월29일
- 2004년09월05일
- 2004년05월23일
- 2004년03월07일
- 2003년05월25일
- 2003년03월16일
- 2002년03월10일
진행 상황
0 오답
0 정답