사무자동화산업기사 (2002년08월11일 기출문제)
1과목 : 사무자동화 시스템
1번 데이터베이스 언어가 아닌 것은?
2번 다음 중 OA의 요소 기술이 아닌 것은 ?
3번 사무자동화의 실현을 위한 공간설계 기술 중 가장 크게 고려해야 할 요소는?
4번 컴퓨터시스템이 중앙 집중 형태의 시스템에 분산처리시스템의 형태로 발전한 이유는 여러 가지 장점이 있기 때문이다. 분산처리시스템의 장점에 속하지 않는 것은?
5번 사무자동화의 발생 배경요인에 대한 설명 중 알맞지 않은 것은?
6번 사무자동화를 통한 생산성 향상의 척도 기준으로 적합하지 않은 것은?
7번 "의사 결정 지원을 위한 주제 지향적이고 통합적이며, 시계열적(historical)이고 비휘발적인 데이터의 집합"을 무엇이라고 하는가?
8번 응용 소프트웨어(Application Software)분류 중 사용자를 위한 공통적인 정보처리작업을 수행하는 프로그램으로 워드프로세싱, 스프레드시트, 그래픽 등이 속하는 분야는?
9번 사무자동화시스템의 주요기능과 거리가 먼 것은?
10번 컴퓨터에게 중앙처리장치와 별도로 I/O를 위한 전용의 프로세서를 두는 이유는? (단, I/O 프로세서를 IOP라고도 함)
11번 다음 중 보조기억장치에 해당되지 않는 것은?
12번 Accumulator(누산기)의 설명으로 가장 적합한 것은?
13번 그룹웨어의 기능에 대한 설명으로 적절하지 못한 것은?
14번 인터넷을 통한 전자상거래(EC; Electronic Commerce)의 효과로서 적당하지 않은 것은?
15번 VDT 증후군을 예방하기 위해서 취할 수 있는 대책과 거리가 먼 것은?
16번 정보통신 기술의 향상으로 등장한 새로운 데이터베이스의 형태와 거리가 먼 것은?
17번 Zisman의 사무자동화 정의에 포함되지 않는 것은?
18번 애니메이션 기법에서 한 이미지에서 다른 이미지로 변형시키는 기술을 무엇이라 하는가?
19번 사무자동화의 등장요인이 될 수 없는 것은?
20번 사용자가 작성한 프로그램, 즉 기계어로 번역되기 이전의 프로그램을 무엇이라고 하는가?
2과목 : 사무경영관리 개론
21번 정보기술을 활용하여 행정기관의 사무를 전자화함으로써 행정기관 상호간 또는 국민에 대한 행정업무를 효율적으로 수행하는 정부를 무엇이라고 하는가?
22번 사무 관리의 기능을 가장 적합하게 정의한 것은?
23번 전자상거래(EC)의 장점이 아닌 것은?
24번 사무작업의 효율화를 기하기 위해서는 절차, 서식, 작업시간을 단축하거나 간소화해야 하는데, 다음 사항 중 사무 간소화에 해당하지 않는 것은?
25번 원프로그램의 일련의 지시, 명령의 전부 또는 상당부분을 이용하여 새로운 프로그램을 창작하는 것은?
26번 사무계획화의 대상으로 볼 수 없는 것은?
27번 다음 중 조사검사ㆍ조회 혹은 평가 등의 방법으로써, 무질서하게 행해지는 산발적인「체크」 정도이거나 혹은 일정한 룰에 기초한 표본 조사인 사무통제 방법은?
28번 사무 작업의 측정법과 가장 거리가 먼 것은?
29번 프로젝트 조직과 기능식 조직을 합한 조직형태는 어떤 조직인가?
30번 사무계획 중에서 특정 상황에 대응하여 그 때마다 만들어지는 계획을 무엇이라 하는가?
31번 현대경영을 정보와의 싸움으로 보고 더욱 풍부하고 질이 좋은 정보를 보다 빨리 얻고 신속하게 이해하는 것만이 경쟁에서 승리할 수 있다고 정보관리의 중요성을 강조한 사람은?
32번 전자계산조직 등 각종 단말기기의 전자파 장해로부터의 보호기준 등은 어느 법령이 정하는 바에 따르는가?
33번 사무량을 측정하기에 부적당한 사무는?
34번 사무의 계획화란 어느 활동을 말하는가?
35번 오피스의 기본기능에 따라 사무를 분류할 때 관계가 없는 것은?
36번 다음 중 사무계획을 함으로써 얻어지는 효과로서 가장 적합한 것은?
37번 문서를 보존하는 기본적 태도가 아닌 것은?
38번 다음 중 사무의 본질을 기능적 측면에서 구분한 것은?
39번 사무의 난이도별 분류에 따른 현대 사무의 지향하는 목표로 옳은 것은?
40번 사무관리의 대상이 아닌 것은?
3과목 : 프로그래밍 일반
41번 기계어와 가장 유사한 언어는?
42번 C 언어의 자료 형이 아닌 것은?
43번 인터프리터(Interpreter) 기법을 사용하는 언어는?
44번 정규표현(Regular Expression)을 받아들이는 효율적인 오토마타(automata)는?
45번 10진수 634를 BCD 코드로 표현한 것은?
46번 스트림 자료의 활용이 가장 많은 언어는?
47번 주어진 문장이 정의된 문법 구조에 따라 정당하게 하나의 문장으로서 합법적으로 사용될 수 있는가를 확인하는 작업으로 토큰들을 문법에 따라 분석하는 작업을 수행하는 단계는?
48번 C 언어의 기억 클래스에 해당하지 않는 것은?
49번 고급 언어로 작성된 프로그램을 구문 분석하여 파서에 의하여 생성되는 결과물로서, 각각의 문장을 문법 구조에 따라 트리 형태로 구성한 것은?
50번 요소 선택과 삭제는 한쪽에서, 삽입은 다른 쪽에서 일어나도록 제한하는 것은?
51번 BNF 심볼에서 정의를 나타내는 기호는?
52번 재배치 형태의 기계어로 된 여러 개의 프로그램을 묶어서 로드 모듈을 작성하는 것은?
53번 구조적 프로그램의 기본 구조가 아닌 것은?
54번 이항(binary) 연산에 해당하지 않는 것은?
55번
구문도표(syntax diagram) 표기시 사용되는 기호가 아닌 것은?
56번 정적 바인딩에 해당하지 않는 것은?
57번 시스템 프로그래밍에 가장 적당한 언어는?
58번 C 언어에서 정수형 변수 a 에 256 이 저장되어 있다. 이를 7자리로 잡아 왼쪽으로 붙여 출력하려고 할 때, 적절한 printf() 내의 % 변환문자 사용은?
59번 운영체제의 목적으로 거리가 먼 것은?
60번 상향식(bottom-up) 파서에 해당하는 것은?
4과목 : 정보통신 개론
61번 동기식 전송방식의 구성 형식은 동기문자와 제어정보, 데이터 블록으로 구성되는데 이러한 구성형식을 무엇이라 하는가?
62번 정보 제공시 통신회선을 기간통신사업자로 부터 임차하여 사설망을 구축하고 이를 이용, 축적해 놓은 정보를 유통시키는 정보통신 서비스망은?
63번 다음 중에서 정보통신시스템의 발전 단계로 볼 때 최종적으로 구축하는 것은?
64번 다음 중 정보화 사회에서 정보화란 의미를 가장 잘 표현한 것은?
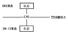
65번
다음 그림은 OSI 7계층 모델의 개념도이다. (가)부분에 해당하는 것은?

66번 정보통신망(전산망) 상호간을 연결할 때 시설, 운영 및 유지, 보수의 책임한계를 구분하기 위한 접속점을 무엇이라고 하는가?
67번 다음 중 캡슐화(encapsulation)에 사용되는 제어 정보가 아닌 것은?
68번 양방향으로 신호의 전송이 가능하기는 하나 실제 동시전송은 이루어지지 않고 반드시 한쪽 방향으로만 전송이 이루어지는 통신방식은?
69번 OSI의 7레벨 계층 중 데이터링크 계층(data link layer)에 대한 설명으로 가장 적합한 것은?
70번 정보통신망(전산망)에 관한 기술의 표준화업무를 수행하는 곳은?
71번 정보통신시스템 중 데이터 전송계에 속하지 않는 것은?
72번 대학, 병원 및 연구소 등 근거리 통신망이 필요하면서도 여건이 안되는 기관 간에 인근 전화국의 데이터 교환망과 기존통신망을 연동시켜 구성하는 통신망은?
73번 우리나라에서도 최근 초고속정보통신망 사업이 진행되고 있다. 이 통신망사업에서 주통신선로로 쓰이는 것은?
74번 10 Base T 근거리통신망의 특성을 올바르게 나타낸 것은?
75번 다음 중 세션계층의 기능이 아닌 것은?
76번 4800[baud]의 모뎀이 2 bit를 사용하는 경우 데이터의 전송속도[bps]는 ?
77번 컴퓨터 시스템의 중앙처리장치로서 입력장치, 기억장치, 연산장치, 출력장치에게 동작을 명령, 감독, 통제하는 장치는?
78번 다음 중 무선계 뉴미디어에 속하는 것은?
79번 다음 중 패킷교환방식에 대한 설명 중 맞는 것은?
80번 다음 중 서로 관계가 올바르게 짝지어진 것은?
연도별
- 2020년08월22일
- 2020년06월06일
- 2019년09월21일
- 2019년04월27일
- 2019년03월03일
- 2018년09월15일
- 2018년04월28일
- 2018년03월04일
- 2017년09월23일
- 2017년05월07일
- 2017년03월05일
- 2016년10월01일
- 2016년05월08일
- 2016년03월06일
- 2015년09월19일
- 2015년05월31일
- 2015년03월08일
- 2014년09월20일
- 2014년05월25일
- 2014년03월02일
- 2013년09월28일
- 2013년06월02일
- 2013년03월10일
- 2012년09월15일
- 2012년05월20일
- 2012년03월04일
- 2011년08월21일
- 2011년06월12일
- 2011년03월20일
- 2010년09월05일
- 2010년05월09일
- 2010년03월07일
- 2009년08월30일
- 2009년05월10일
- 2009년03월01일
- 2008년07월27일
- 2008년05월11일
- 2008년03월02일
- 2007년08월05일
- 2007년05월13일
- 2007년03월04일
- 2006년08월06일
- 2006년05월14일
- 2006년03월05일
- 2005년08월07일
- 2005년05월29일
- 2005년03월20일
- 2005년03월06일
- 2004년08월08일
- 2004년05월23일
- 2004년03월07일
- 2003년08월10일
- 2003년05월25일
- 2003년03월16일
- 2002년08월11일
- 2002년05월26일
- 2002년03월10일
- 2001년09월23일
- 2001년06월03일
- 2001년03월04일