2012년03월10일 66번
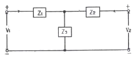
[회로이론 및 제어공학] 다음과 같은 T형 회로의 임피던스 파라미터 Z22의 값은?

- ① Z1
- ② Z3
- ③ Z1+Z3
- ④ Z2+Z3
(정답률: 21%)
문제 해설
임피던스 파라미터 Z22는 T형 회로에서 포트 2에서의 전압과 포트 2에서의 전류의 비율을 나타내는 값이다. 이때 포트 1에서의 전압은 0이므로, 포트 2에서의 전압은 Z2와 Z3에 의해 결정된다. 따라서 포트 2에서의 전압은 Z2+Z3이다. 따라서 정답은 "Z2+Z3"이다.
연도별
- 2022년04월24일
- 2022년03월05일
- 2021년09월12일
- 2021년05월15일
- 2021년03월07일
- 2020년09월26일
- 2020년08월22일
- 2020년06월06일
- 2019년09월21일
- 2019년04월27일
- 2019년03월03일
- 2018년09월15일
- 2018년04월28일
- 2018년03월04일
- 2017년09월23일
- 2017년05월07일
- 2017년03월05일
- 2016년10월01일
- 2016년05월08일
- 2016년03월06일
- 2015년09월20일
- 2015년05월31일
- 2015년03월08일
- 2014년09월20일
- 2014년05월25일
- 2014년03월02일
- 2013년09월28일
- 2013년06월02일
- 2013년03월10일
- 2012년09월15일
- 2012년05월20일
- 2012년03월10일
- 2011년10월02일
- 2011년06월12일
- 2011년03월20일
- 2010년09월05일
- 2010년05월10일
- 2010년03월07일
- 2009년08월30일
- 2009년05월10일
- 2009년03월01일
- 2008년09월07일
- 2008년05월11일
- 2008년03월02일
- 2007년09월02일
- 2007년05월13일
- 2007년03월04일
- 2006년09월10일
- 2006년05월14일
- 2006년03월05일
- 2005년09월04일
- 2005년05월29일
- 2004년09월05일
- 2004년05월23일
- 2004년03월07일
- 2003년05월25일
- 2003년03월16일
- 2002년03월10일
진행 상황
0 오답
0 정답