2017년05월07일 1번
[재료역학] 그림과 같이 한변의 길이가 d인 정사각형 단면의 Z-Z 축에 관한 단면계수는?

-
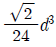
①
-
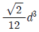
②
-
③
-
④
(정답률: 23%)
문제 해설
정사각형 단면의 Z-Z 축에 관한 단면계수는 단면의 대칭성에 의해 모든 방향에서 동일하다. 따라서, 단면계수는 모든 방향에서 동일한 값인 1이다. 따라서, 정답은 "
" 이다.
" 이다.
이전 문제
다음 문제
연도별
- 2021년08월14일
- 2021년05월15일
- 2021년03월07일
- 2020년08월22일
- 2020년06월06일
- 2019년08월04일
- 2019년03월03일
- 2018년08월19일
- 2018년04월28일
- 2018년03월04일
- 2017년08월26일
- 2017년05월07일
- 2016년08월21일
- 2016년03월06일
- 2015년05월31일
- 2012년05월20일
- 2012년03월04일
- 2011년08월21일
- 2011년06월12일
- 2011년03월20일
- 2010년07월25일
- 2010년05월09일
- 2010년03월07일
- 2007년05월13일
- 2007년03월04일
- 2006년05월14일
- 2006년03월05일
- 2005년08월07일
- 2005년05월29일
- 2004년08월08일
- 2004년05월23일
- 2004년03월07일
- 2003년08월10일
- 2003년05월25일
- 2003년03월16일
진행 상황
0 오답
0 정답