2012년05월20일 80번
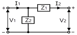
[회로이론] 그림과 같은 회로의 임피던스 파라미터는?

- ① Z11=Z1+Z2, Z12=Z1, Z21=Z1, Z22=Z1
- ② Z11=Z1, Z12=Z2, Z21=-Z1, Z22=Z2
- ③ Z11=Z2, Z12=-Z2, Z21=-Z2, Z22=Z1+Z2
- ④ Z11=Z2, Z12=Z1+Z2, Z21=Z1+Z2, Z22=Z1
(정답률: 36%)
문제 해설
연도별
- 2020년08월22일
- 2020년06월06일
- 2019년09월21일
- 2019년04월27일
- 2019년03월03일
- 2018년09월15일
- 2018년04월28일
- 2018년03월04일
- 2017년09월23일
- 2017년05월07일
- 2017년03월05일
- 2016년10월01일
- 2016년05월08일
- 2016년03월06일
- 2015년09월19일
- 2015년05월31일
- 2015년03월08일
- 2014년09월20일
- 2014년05월25일
- 2014년03월02일
- 2013년09월28일
- 2013년06월02일
- 2013년03월10일
- 2012년09월15일
- 2012년05월20일
- 2012년03월04일
- 2011년10월02일
- 2011년06월12일
- 2011년03월20일
- 2010년09월05일
- 2010년05월09일
- 2010년03월07일
- 2009년08월30일
- 2009년05월10일
- 2009년03월01일
- 2008년09월07일
- 2008년05월11일
- 2008년03월02일
- 2007년09월02일
- 2007년05월13일
- 2007년03월04일
- 2006년05월14일
- 2006년03월05일
- 2005년05월29일
- 2004년09월05일
- 2004년05월23일
- 2004년03월07일
- 2003년05월25일
- 2003년03월16일
진행 상황
0 오답
0 정답