2017년05월07일 1번
[전기자기학] 원통 좌표계에서 전류밀도 j=Kr2az[A/m2]일 때 암페어의 법칙을 사용한 자계의 세기 H[AT/m]는? (단, K는 상수이다.)
-
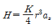
①
-
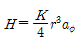
②
-
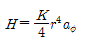
③
-
④
(정답률: 54%)
문제 해설
암페어의 법칙에 의해 H는 전류밀도 j에 비례한다. 따라서 H는 Kr2az에 비례한다. 이때 Kr2az는 원통 좌표계에서의 z축 방향의 성분이므로, H는 z축 방향의 자계 세기이다. 따라서 정답은 "
"이다.
"이다.
이전 문제
다음 문제
연도별
- 2022년04월24일
- 2022년03월05일
- 2021년08월14일
- 2021년05월15일
- 2021년03월07일
- 2020년09월26일
- 2020년08월22일
- 2020년06월06일
- 2019년08월04일
- 2019년04월27일
- 2019년03월03일
- 2018년08월19일
- 2018년04월28일
- 2018년03월04일
- 2017년08월26일
- 2017년05월07일
- 2017년03월05일
- 2016년08월21일
- 2016년05월08일
- 2016년03월06일
- 2015년08월16일
- 2015년05월31일
- 2015년03월08일
- 2014년08월17일
- 2014년05월25일
- 2014년03월02일
- 2013년08월18일
- 2013년06월02일
- 2013년03월10일
- 2012년08월26일
- 2012년05월20일
- 2012년03월04일
- 2011년08월21일
- 2011년06월12일
- 2011년03월20일
- 2010년07월25일
- 2010년05월09일
- 2010년03월07일
- 2009년07월26일
- 2009년05월10일
- 2009년03월01일
- 2008년07월27일
- 2008년05월11일
- 2008년03월02일
- 2007년08월05일
- 2007년05월13일
- 2007년03월04일
- 2006년08월06일
- 2006년05월14일
- 2006년03월05일
- 2005년08월07일
- 2005년05월29일
- 2005년03월06일
- 2004년08월08일
- 2004년05월23일
- 2004년03월07일
- 2003년08월10일
- 2003년05월25일
- 2003년03월16일
진행 상황
0 오답
0 정답