2015년05월31일 19번
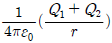
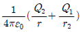
[전기자기학] 반경 r1, r2인 동심구가 있다. 반경 r1, r2인 구 껍질에 각각 +Q1, +Q2의 전하가 분포되어 있는 경우 r1≤ r ≤ r2에서의 전위는
-
①
-
②
-
③
-
④
(정답률: 52%)
문제 해설
전위는 전하가 분포된 곳에서 멀어질수록 감소하므로, r1에서의 전위는 +Q1/r1, r2에서의 전위는 +Q1/r2 + +Q2/r2이다. 따라서 r1≤ r ≤ r2에서의 전위는 +Q1/r1에서 +Q1/r + +Q2/r2에서 +Q1/r2 + +Q2/r이 되며, 이를 정리하면 "
"가 된다.
"가 된다.연도별
- 2022년04월24일
- 2022년03월05일
- 2021년08월14일
- 2021년05월15일
- 2021년03월07일
- 2020년09월26일
- 2020년08월22일
- 2020년06월06일
- 2019년08월04일
- 2019년04월27일
- 2019년03월03일
- 2018년08월19일
- 2018년04월28일
- 2018년03월04일
- 2017년08월26일
- 2017년05월07일
- 2017년03월05일
- 2016년08월21일
- 2016년05월08일
- 2016년03월06일
- 2015년08월16일
- 2015년05월31일
- 2015년03월08일
- 2014년08월17일
- 2014년05월25일
- 2014년03월02일
- 2013년08월18일
- 2013년06월02일
- 2013년03월10일
- 2012년08월26일
- 2012년05월20일
- 2012년03월04일
- 2011년08월21일
- 2011년06월12일
- 2011년03월20일
- 2010년07월25일
- 2010년05월09일
- 2010년03월07일
- 2009년07월26일
- 2009년05월10일
- 2009년03월01일
- 2008년07월27일
- 2008년05월11일
- 2008년03월02일
- 2007년08월05일
- 2007년05월13일
- 2007년03월04일
- 2006년08월06일
- 2006년05월14일
- 2006년03월05일
- 2005년08월07일
- 2005년05월29일
- 2005년03월06일
- 2004년08월08일
- 2004년05월23일
- 2004년03월07일
- 2003년08월10일
- 2003년05월25일
- 2003년03월16일
진행 상황
0 오답
0 정답