2015년05월31일 36번
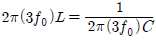
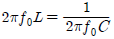
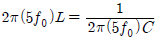
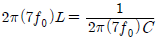
[전력공학] 전력용 콘덴서를 변전소에 설치할 때 직렬 리액터를 설치 하고자 한다. 직렬 리액터의 용량을 결정하는 식은? (단, f0는 전원의 기본 주파수, C는 역률 개선용 콘덴서 용량 L은 직렬 리액터의 용량이다.)
-
①
-
②
-
③
-
④
(정답률: 74%)
문제 해설
연도별
- 2022년04월24일
- 2022년03월05일
- 2021년08월14일
- 2021년05월15일
- 2021년03월07일
- 2020년09월26일
- 2020년08월22일
- 2020년06월06일
- 2019년08월04일
- 2019년04월27일
- 2019년03월03일
- 2018년08월19일
- 2018년04월28일
- 2018년03월04일
- 2017년08월26일
- 2017년05월07일
- 2017년03월05일
- 2016년08월21일
- 2016년05월08일
- 2016년03월06일
- 2015년08월16일
- 2015년05월31일
- 2015년03월08일
- 2014년08월17일
- 2014년05월25일
- 2014년03월02일
- 2013년08월18일
- 2013년06월02일
- 2013년03월10일
- 2012년08월26일
- 2012년05월20일
- 2012년03월04일
- 2011년08월21일
- 2011년06월12일
- 2011년03월20일
- 2010년07월25일
- 2010년05월09일
- 2010년03월07일
- 2009년07월26일
- 2009년05월10일
- 2009년03월01일
- 2008년07월27일
- 2008년05월11일
- 2008년03월02일
- 2007년08월05일
- 2007년05월13일
- 2007년03월04일
- 2006년08월06일
- 2006년05월14일
- 2006년03월05일
- 2005년08월07일
- 2005년05월29일
- 2005년03월06일
- 2004년08월08일
- 2004년05월23일
- 2004년03월07일
- 2003년08월10일
- 2003년05월25일
- 2003년03월16일
진행 상황
0 오답
0 정답
L = 1 / (2πf0C)
여기서 f0는 전원의 기본 주파수, C는 역률 개선용 콘덴서의 용량, L은 직렬 리액터의 용량이다.
따라서, 보기 중에서 정답인 "