전기기사 (2022년04월24일 기출문제)
1과목 : 전기자기학
1번
εr = 81, μr = 1 인 매질의 고유 임피던스는 약 몇 Ω 인가? (단, εr은 비유전율이고, μr은 비투자율이다.)
2번
강자성체의 B-H 곡선을 자세히 관찰하면 매끈한 곡선이 아니라 자속밀도가 어느 순간 급격히 계단적으로 증가 또는 감소하는 것을 알 수 있다. 이러한 현상을 무엇이라 하는가?
3번
진공 중에 무한 평면도체와 d(m)만큼 떨어진 곳에 선전하밀도 λ(C/m)의 무한 직선도체가 평행하게 놓여 있는 경우 직선 도체의 단위 길이당 받는 힘은 몇 N/m 인가?
4번
평행 극판 사이에 유전율이 각각 ε1, ε2 인 유전체를 그림과 같이 채우고, 극판 사이에 일정한 전압을 걸었을 때 두 유전체 사이에 작용하는 힘은? (단, ε1 > ε2)

5번
정전용량이 20μF인 공기의 평행판 커패시터에 0.1C의 전하량을 충전하였다. 두 평행판 사이에 비유전율이 10인 유전체를 채웠을 때 유전체 표면에 나타나는 분극 전하량(C)은?
6번
유전율이 ε1과 ε2인 두 유전체가 경계를 이루어 평행하게 접하고 있는 경우 유전율이 ε1인 영역에 전하 Q가 존재할 때 이 전하와 ε2인 유전체 사이에 작용하는 힘에 대한 설명으로 옳은 것은?
7번
단면적이 균일한 환상철심에 권수 100회인 A코일과 권수 400회인 B코일이 있을 때 A코일의 자기 인덕턴스가 4H라면 두 코일의 상호 인덕턴스는 몇 H 인가? (단, 누설자속은 0 이다)
8번
평균 자로의 길이가 10cm, 평균 단면적이 2cm2인 환상 솔레노이드의 자기 인덕턴스를 5.4mH 정도로 하고자 한다. 이때 필요한 코일의 권선수는 약 몇 회인가? (단, 철심의 비투자율은 15000 이다)
9번
투자율이 μ(H/m), 단면적이 S(m2), 길이가 l(m)인 자성체에 권선을 N회 감아서 I(A)의 전류를 흘렸을 때 이 자성체의 단면적 S(m2)를 통과하는 자속(Wb)은?
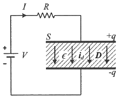
10번
그림은 커패시터의 유전체 내에 흐르는 변위전류를 보여준다. 커패시터의 전극 면적을 S(m2), 전극에 축적된 전하를 q(C), 전극의 표면전하 밀도를 σ(C/m2), 전극 사이의 전속밀도를 D(C/m2)라 하면 변위전류밀도 id(A/m2)는?

11번
진공 중에서 점(1, 3)m의 위치에 -2×10-9C의 점전하가 있을 때 점(2, 1)m에 있는 1C의 점전하에 작용하는 힘은 몇 N 인가? (단,
는 단위벡터이다.)
는 단위벡터이다.)
12번
정전용량이 C0(μF)인 평행판의 공기 커패시터가 있다. 두 극판 사이에 극판과 평행하게 절반을 비유전율이 εr인 유전체로 채우면 커패시터의 정전용량 (μF)은?
13번
그림과 같이 점 O를 중심으로 반지름이 a(m)인 구도체 1과 안쪽 반지름이 b(m)이고 바깥쪽 반지름이 C(m)인 구도체 2가 있다. 이 도체계에서 전위계수 P11(1/F)에 해당하는 것은?

14번
자계의 세기를 나타내는 단위가 아닌 것은?
15번
그림과 같이 평행한 무한장 직선의 두 도선에 I(A), 4I(A)인 전류가 각각 흐른다. 두 도선 사이 점 P에서의 자계의 세기가 0 이라면 a/b 는?

16번
내압 및 정전용량이 각각 1000V –2μF, 700V –3μF, 600V –4μF, 300V -8μF인 4개의 커패시터가 있다. 이 커패시터들을 직렬로 연결하여 양단에 전압을 인가한 후, 전압을 상승시키면 가장 먼저 절연이 파괴되는 커패시터는? (단, 커패시터의 재질이나 형태는 동일하다.)
17번
반지름이 2m이고, 권수가 120회인 원형코일 중심에서의 자계의 세기를 30 AT/m로 하려면 원형코일에 몇 A의 전류를 흘려야 하는가?
18번
내구의 반지름이 a = 5cm, 외구의 반지름이 b = 10cm 이고, 공기로 채워진 동심구형 커패시터의 정전용량은 약 몇 pF 인가?
19번
자성체의 종류에 대한 설명으로 옳은 것은? (단, χm는 자화율이고, μr는 비투자율이다.)
20번
구좌표계에서 ∇2r 의 값은 얼마인가? (단,
)
)
2과목 : 전력공학
21번
피뢰기의 충격방전 개시전압은 무엇으로 표시하는가?
22번
전력용 콘덴서에 비해 동기조상기의 이점으로 옳은 것은?
23번
단락 보호방식에 관한 설명으로 틀린 것은?
24번
밸런서의 설치가 가장 필요한 배전방식은?
25번
부하전류가 흐르는 전로는 개폐할 수 없으나 기기의 점검이나 수리를 위하여 회로를 분리하거나, 계통의 접속을 바꾸는데 사용하는 것은?
26번
정전용량 0.01μF/km, 길이 173.2km, 선간전압 60kV, 주파수 60Hz인 3상 송전선로의 충전전류는 약 몇 A 인가?
27번
보호계전기의 반한시ㆍ정한시 특성은?
28번
전력계통의 안정도에서 안정도의 종류에 해당하지 않는 것은?
29번
배전선로의 역률 개선에 따른 효과로 적합하지 않은 것은?
30번
저압뱅킹 배전방식에서 캐스케이딩현상을 방지하기 위하여 인접 변압기를 연락하는 저압선의 중간에 설치하는 것으로 알맞은 것은?
31번
승압기에 의하여 전압 Ve에서 Vh로 승압할 때, 2차 정격전압 e, 자기용량 W인 단상 승압기가 공급할 수 있는 부하용량은?
32번
배기가스의 여열을 이용해서 보일러에 공급되는 급수를 예열함으로써 연료 소비량을 줄이거나 증발량을 증가시키기 위해서 설치하는 여열회수 장치는?
33번
직렬콘덴서를 선로에 삽입할 때의 이점이 아닌 것은?
34번
전선의 굵기가 균일하고 부하가 균등하게 분산되어 있는 배전선로의 전력손실은 전체 부하가 선로 말단에 집중되어 있는 경우에 비하여 어느 정도가 되는가?
35번
송전단 전압 161kV, 수전단 전압 154kV, 상차각 35°, 리액턴스 60Ω 일 때 선로 손실을 무시하면 전송전력(MW)은 약 얼마인가?
36번
직접접지방식에 대한 설명으로 틀린 것은?
37번
그림과 같이 지지점 A, B, C에는 고저차가 없으며, 경간 AB와 BC 사이에 전선이 가설되어 그 이도가 각각 12cm 이다. 지지점 B에서 전선이 떨어져 전선의 이도가 D로 되었다면 D의 길이(cm)는? (단, 지지점 B는 A와 C의 중점이며 지지점 B에서 전선이 떨어지기 전, 후의 길이는 같다.)

38번
수차의 캐비테이션 방지책으로 틀린 것은?
39번
송전선로에 매설지선을 설치하는 목적은?
40번
1회선 송전선과 변압기의 조합에서 변압기의 여자 어드미턴스를 무시하였을 경우 송수전단의 관계를 나타내는 4단자 정수 C0는? (단, A0 = A + CZts, B0 = B + AZtr + DZts + CZtr Zts, D0 = D + CZtr 여기서, Zts 는 송전단변압기의 임피던스이며, Ztr 은 수전단변압기의 임피던스이다.)
3과목 : 전기기기
41번
단상 변압기의 무부하 상태에서 V1 = 200sin(ωt+30°)(V) 의 전압이 인가되었을 때 Io = 3sin(ωt+60°) + 0.7sin(3ωt+180°)(A) 의 전류가 흘렀다. 이때 무부하손은 약 몇 W 인가?
42번
단상 직권 정류자 전동기의 전기자 권선과 계자 권선에 대한 설명으로 틀린 것은?
43번
전부하시의 단자전압이 무부하시의 단자전압보다 높은 직류발전기는?
44번
직류기의 다중 중권 권선법에서 전기자 병렬회로 수 a와 극수 P 사이의 관계로 옳은 것은? (단, m은 다중도이다.)
45번
슬립 st에서 최대 토크를 발생하는 3상 유도전동기에 2차측 한상의 저항을 r2라 하면 최대 토크로 기동하기 위한 2차측 한 상에 외부로부터 가해 주어야 할 저항(Ω)은?
46번
단상 변압기를 병렬 운전할 경우 부하전류의 분담은?
47번
스텝 모터(step motor)의 장점으로 틀린 것은?
48번
380V, 60Hz, 4극, 10kW인 3상 유도전동기의 전부하 슬립이 4%이다. 전원 전압을 10% 낮추는 경우 전부하 슬립은 약 몇 % 인가?
49번
3상 권선형 유도전동기의 기동 시 2차측 저항을 2배로 하면 최대토크 값은 어떻게 되는가?
50번
직류 분권전동기에서 정출력 가변속도의 용도에 적합한 속도제어법은?
51번
직류 분권전동기의 전기자전류가 10A일 때 5Nㆍm의 토크가 발생하였다. 이 전동기의 계자의 자속이 80%로 감소되고, 전기자전류가 12A로 되면 토크는 약 Nㆍm 인가?
52번
권수비가 a인 단상변압기 3대가 있다. 이것을 1차에 △, 2차에 Y로 결선하여 3상 교류 평형회로에 접속할 때 2차측의 단자전압을 V(V), 전류를 I(A)라고 하면 1차측의 단자전압 및 선전류는 얼마인가? (단, 변압기의 저항, 누설리액턴스, 여자전류는 무시한다.)
53번
3상 전원전압 220V를 3상 반파정류회로의 각 상에 SCR을 사용하여 정류제어 할 때 위상각을 60°로 하면 순 저항부하에서 얻을 수 있는 출력전압 평균값은 약 몇 V 인가?(문제 오류로 가답안 발표시 2번이 답안으로 발표되었으나, 확정답안 발표시 전항 정답 처리 되었습니다. 여기서는 가답안인 2번을 누르면 정답 처리 됩니다.)
54번
유도자형 동기발전기의 설명으로 옳은 것은?
55번
3상 동기발전기의 여자전류 10A에 대한 단자전압이 1000√3 V, 3상 단락전류가 50A 인 경우 동기임피던스는 몇 Ω 인가?
56번
동기발전기에서 무부하 정격전압일 때의 여자전류를 Ifo, 정격부하 정격전압일 때의 여자전류를 If1, 3상 단락 정격전류에 대한 여자전류를 Ifs라 하면 정격속도에서의 단락비 K는?
57번
변압기의 습기를 제거하여 절연을 향상시키는 건조법이 아닌 것은?
58번
극수 20, 주파수 60Hz인 3상 동기발전기의 전기자권선이 2층 중권, 전기자 전 슬롯 수 180, 각 슬롯 내의 도체 수 10, 코일피치 7슬롯인 2중 성형결선으로 되어 있다. 선간전압 3300V를 유도하는데 필요한 기본파 유효자속은 약 몇 Wb인가? (단, 코일피치와 자극피치의 비 β = 7/9 이다)
59번
2방향성 3단자 사이리스터는 어느 것인가?
60번
일반적인 3상 유도전동기에 대한 설명으로 틀린 것은?
4과목 : 회로이론 및 제어공학
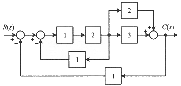
61번
다음 블록선도의 전달함수
는?
는?
62번
전달함수가
과 같은 제어시스템에서 ω = 0.1 rad/s 일 때의 이득(dB)과 위상각(°)은 약 얼마인가?
과 같은 제어시스템에서 ω = 0.1 rad/s 일 때의 이득(dB)과 위상각(°)은 약 얼마인가?
63번
다음의 논리식과 등가인 것은?

64번
다음의 개루프 전달함수에 대한 근궤적이 실수축에서 이탈하게 되는 분리점은 약 얼마인가?

65번
의 역 z 변환은?
의 역 z 변환은?
66번
기본 제어요소인 비례요소의 전달함수는? (단, K는 상수이다.)
67번
다음의 상태방정식으로 표현되는 시스템의 상태천이행렬은?

68번
제어시스템의 전달함수가
과 같이 표현될 때 이 시스템의 고유주파수(ωn(rad/s))와 감쇠율(ζ)은?
과 같이 표현될 때 이 시스템의 고유주파수(ωn(rad/s))와 감쇠율(ζ)은?
69번
그림의 신호흐름도를 미분방정식으로 표현한 것으로 옳은 것은? (단, 모든 초기 값은 0이다.)

70번
제어시스템의 특성방정식이 s4+s3-3s2-s+2=0 와 같을 때, 이 특성방정식에서 s 평면의 오른쪽에 위치하는 근은 몇 개인가?
71번
회로에서 6Ω에 호르는 전류(A)는?

72번
RL 직렬회로에서 시정수가 0.03s, 저항이 14.7Ω일 때 이 회로의 인덕턴스(mH)는?
73번
상의 순서가 a-b-c인 불평형 3상 교류회로에서 각 상의 전류가 Ia = 7.28∠15.95°(A), Ib = 12.81∠-128.66°(A), Ic = 7.21∠123.69°(A) 일 때 역상분 전류는 약 몇 A 인가?
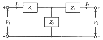
74번
그림과 같은 T형 4단자 회로의 임피던스 파라미터 Z22는?

75번
그림과 같은 부하에 선간전압이 Vab = 100∠30°(V)인 평형 3상 전압을 가했을 때 선전류 Ia(A)는?

76번
분포정수로 표현된 선로의 단위 길이당 저항이 0.5Ω/km, 인덕턴스가 1μH/km, 커패시스턴스가 6μF/km일 때 일그러짐이 없는 조건(무왜형 조건)을 만족하기 위한 단위 길이당 컨덕턴스(℧/m)는?(문제 오류로 가답안 발표시 3번이 답안으로 발표되었으나, 확정답안 발표시 전항 정답 처리 되었습니다. 여기서는 가답안인 3번을 누르면 정답 처리 됩니다.)
77번
그림 (a)의 Y결선 회로를 그림 (b)의 △결선회로로 등가 변환했을 때 Rab, Rbc, Rca는 각각 몇 Ω 인가? (단, Ra = 2Ω, Rb = 3Ω, Rc = 4Ω)

78번
다음과 같은 비정현파 교류 전압 v(t)와 전류 i(t)에 의한 평균전력은 약 몇 W 인가?

79번
회로에서
, I3= 5.0(A), Z3 = 1.0Ω 일 때 부하(Z1, Z2, Z3) 전체에 대한 복소 전력은 약 몇 VA 인가?
, I3= 5.0(A), Z3 = 1.0Ω 일 때 부하(Z1, Z2, Z3) 전체에 대한 복소 전력은 약 몇 VA 인가?
80번
는?
는?
5과목 : 전기설비기술기준 및 판단기준
81번
풍력터빈의 피뢰설비 시설기준에 대한 설명으로 틀린 것은?
82번
샤워시설이 있는 욕실 등 인체가 물에 젖어있는 상태에서 전기를 사용하는 장소에 콘센트를 시설할 경우 인체감전보호용 누전차단기의 정격감도전류는 몇 mA 이하인가?
83번
강관으로 구성된 철탑의 갑종 풍압하중은 수직 투영면적 1m2에 대한 풍압을 기초로 하여 계산한 값이 몇 Pa 인가? (단, 단주는 제외한다.)
84번
한국전기설비규정에 따른 용어의 정의에서 감전에 대한 보호 등 안전을 위해 제공되는 도체를 말하는 것은?
85번
통신상의 유도 장해방지 시설에 대한 설명이다. 다음 ( )에 들어갈 내용으로 옳은 것은?

86번
주택의 전기저장장치의 축전지에 접속하는 부하 측 옥내배선을 사람이 접촉할 우려가 없도록 케이블배선에 의하여 시설하고 전선에 적당한 방호장치를 시설한 경우 주택의 옥내전로의 대지전압은 직류 몇 V 까지 적용할 수 있는가? (단, 전로에 지락이 생겼을 때 자동적으로 전로를 차단하는 장치를 시설한 경우이다.)
87번
전압의 구분에 대한 설명으로 옳은 것은?
88번
고압 가공전선로의 가공지선으로 나경동선을 사용할 때의 최소 굵기는 지름 몇 mm 이상인가?
89번
특고압용 변압기의 내부에 고장이 생겼을 경우에 자동차단장치 또는 경보장치를 하여야 하는 최소 뱅크용량은 몇 kVA 인가?
90번
합성수지관 및 부속품의 시설에 대한 설명으로 틀린 것은?
91번
사용전압이 22.9kV인 가공전선이 철도를 횡단하는 경우, 전선의 레일면상의 높이는 몇 m 이상인가?
92번
가공전선로의 지지물에 시설하는 통신선 또는 이에 직접 접속하는 가공 통신선이 철도 또는 궤도를 횡단하는 경우 그 높이는 레일면상 몇 m 이상으로 하여야 하는가?
93번
전력보안통신설비의 조가선은 단면적 몇 mm2 이상의 아연도강연선을 사용하여야 하는가?
94번
가요전선관 및 부속품의 시설에 대한 내용이다. 다음 ( )에 들어갈 내용으로 옳은 것은?

95번
사용전압이 154kV인 전선로를 제1종 특고압 보안공사로 시설할 경우, 여기에 사용되는 경동연선의 단면적은 몇 mm2 이상이어야 하는가?
96번
사용전압이 400V 이하인 저압 옥측전선로를 애자공사에 의해 시설하는 경우 전선 상호 간의 간격은 몇 m 이상이어야 하는가? (단, 비나 이슬에 젖지 않는 장소에 사람이 쉽게 접촉될 우려가 없도록 시설한 경우이다.)
97번
지중전선로는 기설 지중약전류전선로에 대하여 통신상의 장해를 주지 않도록 기설약전류전선로로부터 충분히 이격시키거나 기타 적당한 방법으로 시설하여야 한다. 이때 통신상의 장해가 발생하는 원인으로 옳은 것은?
98번
최대 사용전압이 10.5kV를 초과하는 교류의 회전기 절연내력을 시험하고자 한다. 이때 시험전압은 최대사용전압의 몇 배의 전압으로 하여야 하는가? (단, 회전변류기는 제외한다.)
99번
폭연성 분진 또는 화약류의 분말에 전기설비가 발화원이 되어 폭발할 우려가 있는 곳에 시설하는 저압 옥내배선의 공사방법으로 옳은 것은? (단, 사용전압이 400V 초과인 방전등을 제외한 경우이다.)
100번
과전류차단기로 저압전로에 사용하는 범용의 퓨즈(「전기용품 및 생활용품 안전관리법」에서 규정하는 것을 제외한다)의 정격전류가 16A인 경우 용단전류는 정격전류의 몇 배인가? (단, 퓨즈(gG)인 경우이다.)
연도별
- 2022년04월24일
- 2022년03월05일
- 2021년08월14일
- 2021년05월15일
- 2021년03월07일
- 2020년09월26일
- 2020년08월22일
- 2020년06월06일
- 2019년08월04일
- 2019년04월27일
- 2019년03월03일
- 2018년08월19일
- 2018년04월28일
- 2018년03월04일
- 2017년08월26일
- 2017년05월07일
- 2017년03월05일
- 2016년08월21일
- 2016년05월08일
- 2016년03월06일
- 2015년08월16일
- 2015년05월31일
- 2015년03월08일
- 2014년08월17일
- 2014년05월25일
- 2014년03월02일
- 2013년08월18일
- 2013년06월02일
- 2013년03월10일
- 2012년08월26일
- 2012년05월20일
- 2012년03월04일
- 2011년08월21일
- 2011년06월12일
- 2011년03월20일
- 2010년07월25일
- 2010년05월09일
- 2010년03월07일
- 2009년07월26일
- 2009년05월10일
- 2009년03월01일
- 2008년07월27일
- 2008년05월11일
- 2008년03월02일
- 2007년08월05일
- 2007년05월13일
- 2007년03월04일
- 2006년08월06일
- 2006년05월14일
- 2006년03월05일
- 2005년08월07일
- 2005년05월29일
- 2005년03월06일
- 2004년08월08일
- 2004년05월23일
- 2004년03월07일
- 2003년08월10일
- 2003년05월25일
- 2003년03월16일