전기기사 (2013년06월02일 기출문제)
1과목 : 전기자기학
1번
무한히 넓은 도체 평면판에 면밀도 σ[C/m2]의 전하가 분포되어 있는 경우 전력선은 면(面)에 수직으로 나와 평행하게 발산한다. 이 평면의 전계의 세기는 몇 [V/m]인가?
2번
균일하게 원형단면을 흐르는 전류 I[A]에 의한, 반지름 a[m], 길이 ℓ[m], 비투자율 μs인 원통도체의 내부 인덕턴스는 몇 [H] 인가?
3번
유전체에 대한 경계조건에 설명이 옳지 않은 것은?
4번
그림과 같이 정전용량이 C0[F]가 되는 평행판 공기 콘덴서에 판면적의 1/2 되는 공간에 비유전률이 εs인 유전체를 채웠을 때 정전용량은 몇 [F] 인가?

5번
정전류가 흐르고 있는 무한 직선도체로부터 수직으로 0.1[m]만큼 떨어진 점의 자계의 크기가 100[A/m]이면 0.4[m]만큼 떨어진 점의 자계의 크기[A/m]는?
6번
그림과 같이 전류가 흐르는 반원형 도선이 평면 z=0상에 놓여 있다. 이 도선이 자속밀도 B=0.8ax-0.7ay+az[Wb/m2]인 균일자계 내에 놓여 있을 때 도선의 직선부분에 작용하는 힘은 몇 [N] 인가?

7번
전하 q[C]이 공기 중의 자계 H [AT/m]에 수직 방향으로 v[m/s] 속도로 돌입하였을 때 받는 힘은 몇 [N]인가?
8번
면적이 S[m2]이고 극간의 거리가 d[m]인 평행판 콘덴서에 비유전률 εs의 유전체를 채울 때 정전용량은 몇[F] 인가? (단, 진공의 유전률은 ε0이다.)
9번
변위 전류와 가장 관계가 깊은 것은?
10번
압전기 현상에서 분극이 응력과 같은 방향으로 발생하는 현상을 무슨 효과라 하는가?
11번
자화의 세기로 정의 할 수 있는 것은?
12번
전선의 체적을 동일하게 유지하면서 2배의 길이로 늘였을 때 저항은 어떻게 되는가?
13번
평면 도체로부터 수직거리 a[m]인 곳에 점전하 Q[C]가 있다. Q와 평면도체 사이에 작용하는 힘은 몇 [N]인가? (단, 평면도체 오른편을 유전율 ε의 공간이라 한다.)
14번
무한평면도체에서 d[m]의 거리에 있는 반경 a[m]의 구도체와 평면도체 사이의 정전용량은 몇 [F] 인가? (단, a ≪ d 이다.)

15번
그림과 같이 권수 50회이고 전류 1[mA]가 흐르고 있는 직사각형 코일이 0.1[Wb/m2]의 평등자계 내에 자계와 30°로 기울어 놓았을 때 이 코일의 회전력[Nㆍm]은? (단, a=10[cm], b=15[cm]이다.)

16번
반지름 a[m]이고, N=1회의 원형코일에 I[A]의 전류가 흐를 때 그 코일의 중심점에서의 자계의 세기 [AT/m]는?
17번
공극을 가진 환상솔레노이드에서 총 권수 N회, 철심의 투자율 μ[H/m], 단면적 S[m2], 길이 ℓ[m]이고 공극의 길이가 δ[m]일 때 공극부에 자속밀도 B[Wb/m2]을 얻기 위해서는 몇 [A]의 전류를 흘려야 하는가?
18번
자계의 벡터퍼텐셜을 A [Wb/m]라 할 때 도체 주위에서 자계 B [Wb/m2]가 시간적으로 변화하면 도체에 생기는 전계의 세기 E [V/m]은?
19번
자화율(magnetic susceptibility) x는 상자성체에서 일반적으로 어떤 값을 갖는가?
20번
비투자율 μs=800, 원형 단면적이 s=10[cm2], 평균 자로 길이 ㅣ=8π×10-2[m]의 환상 철심에 600회의 코일을 감고 이것에 1[A]의 전류를 흘리면 내부의 자속은 몇 [Wb]인가?
2과목 : 전력공학
21번
표피효과에 대한 설명으로 옳은 것은?
22번
보일러에서 흡수 열량이 가장 큰 곳은?
23번
다음 중 전력원선도에서 알 수 없는 것은?
24번
배전선로의 주상변압기에서 고압측-저압측에 주로 사용되는 보호장치의 조합으로 적합한 것은?
25번
송전계통의 한 부분이 그림에서와 같이 3상변압기로 1차측은 △로, 2차측은 Y로 중성점이 접지되어 있을 경우, 1차측에 흐르는 영상전류는?

26번
조정지 용량 100000[m3], 유효낙차 100[m]인 수력 발전소가 있다. 조정지의 전 용량을 사용하여 발생될 수 있는 전력량은 약 몇 [kWh]인가? (단, 수차 및 발전기의 종합효율을 75%로 하고 유효낙차는 거의 일정하다고 본다.)
27번
저압 뱅킹 배선방식에서 캐스케이딩 이란 무엇인가?
28번
공기차단기(ABB)의 공기 압력은 일반적으로 몇 [kg/cm2]정도 되는가?
29번
송전선로의 일반회로정수가 A=0.7, C=j1.95×10-3, D=0.9 라 하면 B의 값은 약 얼마인가?
30번
정격전압 66[kV]인 3상3선식 송전선로에서 1선의 리액턴스가 15[Ω]일 때 이를 100[MVA]기준으로 환산한 %리액턴스는?
31번
공장이나 빌딩에 200[V] 전압을 400[V]로 승압하여 배전을 할 때, 400[V] 배전과 관계없는 것은?
32번
변압기 보호용 비율차동계전기를 사용하여 △-Y 결선의 변압기를 보호하려고 한다. 이 때 변압기 1, 2차측에 설치하는 변류기의 결선 방식은? (단, 위상 보정기능이 없는 경우이다.)
33번
송전계통의 안정도 향상 대책이 아닌 것은?
34번
부하역률이 0.6인 경우, 전력용 콘덴서를 병렬로 접속하여 합성역률을 0.9로 개선하면 전원측 선로의 전력손실은 처음 것의 약 몇 % 로 감소되는가?
35번
부하의 불평형으로 인하여 발생하는 각 상별 불평형 전압을 평형되게 하고 선로손실을 경감시킬 목적으로 밸런서가 사용된다. 다음 중 이 밸런서의 설치가 가장 필요한 배전 방식은?
36번
원자로의 감속재가 구비하여야 할 사항으로 적합하지 않은 것은?
37번
다음 중 모선보호용 계전기로 사용하면 가장 유리한 것은?
38번
송전선의 전압변동률을 나타내는 식
에서 VR1은 무엇인가?
에서 VR1은 무엇인가?
39번
단도체 대신 같은 단면적의 복도체를 사용할 때 옳은 것은?
40번
송배전선로의 고장전류 계산에서 영상 임피던스가 필요한 경우는?
3과목 : 전기기기
41번
3상 동기발전기의 매극 매상의 슬롯수를 3이라 할때 분포권 계수는?
42번
1차 Y, 2차 △로 결선하고 1차에 선간전압 3300V를 가하였을 때에 무부하 2차 선간전압은 몇 [V]인가? (단, 전압비는 30:1 이다.)(문제오류로 가답안 발표시 2번으로 정답이 발표도었지만 전항 정답처리되었습니다. 여기서는 2번을 누르면 정답 처리 됩니다.)
43번
권수비 a=6600/220, 60Hz, 변압기의 철심 단면적 0.02m2, 최대자속밀도 1.2Wb/m2 일 때 1차 유기기전력은 약 몇 [V] 인가?
44번
단상 유도전압조정기에서 1차 전원전압을 V1이라하고, 2차의 유도전압을 E2라고 할 때 부하 단자전압을 연속적으로 가변할 수 있는 조정 범위는?
45번
10 kVA, 2000/100V, 변압기에서 1차에 환산한 등가 임피던스가 6.2+j7Ω 일 때 % 리액턴스 강하는?
46번
3상 권선형 유도전동기의 전부하 슬립이 4%, 2차 1상의 저항이 0.3Ω 이다. 이 유도전동기의 기동 토크를 전부하 토크와 같도록 하기 위해 외부에서 2차에 삽입해야 할 저항의 크기는 몇 [Ω]인가?
47번
1차 및 2차 정격전압이 같은 2대의 변압기가 있다. 그 용량 및 임피던스 강하가 A 변압기는 5kVA, 3%, B 변압기는 20kVA, 2% 일 때 이것을 병렬 운전하는 경우 부하를 분담하는 비(A:B)는?
48번
브러시의 위치를 이동시켜 회전방향을 역회전 시킬 수 있는 단상 유도전동기는?
49번
직류 발전기에서 섬락이 생기는 가장 큰 원인은?
50번
단상반파 정류회로에서 실효치 E와 직류 평균치 Ed0와의 관계식으로 옳은 것은?
51번
유도 전동기로 동기 전동기를 기동하는 경우, 유도 전동기의 극수는 동기기의 그것보다 2극 적은 것을 사용한다. 옳은 이유는? (단, s는 슬립이며 Ns 동기속도이다.)
52번
직류 전동기에서 정출력 가변속도의 용도에 적합한 속도제어법은?
53번
속도 특성곡선 및 토크 특성곡선을 나타낸 전동기는?

54번
사이클로 컨버터(cyclo converter)란?
55번
포화하고 있지 않은 직류발전기의 회전수가 4배로 증가되었을 때 기전력을 전과 같은 값으로 하려면 여자를 속도 변화 전에 얼마로 하여야 하는가?
56번
다음 중 3상 권선형 유도 전동기의 기동법은?
57번
동기 리액턴스 Xs=10[Ω], 전기자 저항ra=0.1[Ω] 인 Y결선 3상 동기발전기가 있다. 1상의 단자전압은 V=4000V 이고 유기 기전력 E=6400V 이다. 부하각 δ=30° 라고 하면 발전기의 3상 출력[kW]은 약 얼마인가?
58번
다음 그림은 어떤 전동기의 1차측 결선도인가?

59번
직류 직권 전동기가 전차용에 사용되는 이유는?
60번
10000 kVA, 6000 V, 60 Hz, 24극, 단락비 1.2인 3상 동기발전기의 동기 임피던스[Ω]는?
4과목 : 회로이론 및 제어공학
61번
시간 지정이 있는 특수한 시스템이 미분 방정식
로 표시될 때 이 시스템의 함수는?
로 표시될 때 이 시스템의 함수는?
62번
일정 입력에 대해 잔류 편차가 있는 제어계는?
63번
그림과 같은 논리회로에서 출력 F의 값은?

64번
그림과 같은 요소는 제어계의 어떤 요소인가?

65번
개루프 전달함수가 다음과 같은 계에서 단위속도 입력에 대한 정상 편차는?

66번
보상기
가 진상 보상기가 되기 위한 조건은?
가 진상 보상기가 되기 위한 조건은?
67번
다음 안정도 판별법 중 G(s)H(s)의 극점과 영점이 우반평면에 있을 경우 판정 불가능한 방법은?
68번
의 개루프 전달함수에 대한 Nyquist 안정도 판별에 대한 설명으로 옳은 것은?
의 개루프 전달함수에 대한 Nyquist 안정도 판별에 대한 설명으로 옳은 것은?
69번
그림의 회로에서 출력전압 V0는 입력전압 Vi와 비교할 때 위상 변화는?

70번
개루프 전달함수
의 이탈점에 해당되는 것은?
의 이탈점에 해당되는 것은?
71번
RLC 직렬회로에서 전원 전압을 V 라 하고, L, C 에 걸리는 전압을 각각 VL및 VC라면 선택도 Q 는?
72번
전원의 내부 임피던스가 순저항 R과 리액턴스 X로 구성되고 외부에 부하저항 RL 을 연결하여 최대전력을 전달하려면 RL 의 값은?

73번
그림과 같은 회로와 쌍대(dual)가 될 수 있는 회로는?

74번
그림과 같은 π형 회로에 있어서 어드미턴스 파라미터 중 Y21은 어느 것인가?

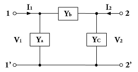
75번
그림의 회로에서 절점전압 Va[V]와 지로전류 Ia[A]의 크기는?

76번
역률각이 45°인 3상 평형부하에 상순이 a-b-c 이고 Y결선된 회로에 Va=220[V]인 상전압을 가하니 Ia=10[A]의 전류가 흘렀다. 전력계의 지시값[W]은?

77번
저항 R[Ω] 3개를 Y로 접속한 회로에 전압 200[V]의 3상 교류전원을 인가시 선전류가 10[A]라면 이 3개의 저항을 △로 접속하고 동일전원을 인가시 선전류는 몇 [A]인가?
78번
선로의 단위 길이당 분포 인덕턴스, 저항, 정전용량, 누설 컨덕턴스를 각각 L, R, C, G 라 하면 전파정수는?
79번
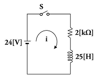
그림의 RL 직렬회로에서 스위치를 닫은 후 몇 초 후에 회로의 전류가 10[mA]가 되는가?

80번
전류의 대칭분을 I0, I1, I2유기 기전력 및 단자전압의 대칭분을 Ea, Eb, Ec 및 V0, V1, V2라 할 때 3상 교류발전기의 기본식 중 정상분 V1 값은? (단, Z0, Z1, Z2는 영상, 정상, 역상 임피던스이다.)
5과목 : 전기설비기술기준 및 판단기준
81번
사용전압 35kV인 특고압 가공전선로에 특고압 절연 전선을 사용한 경우 전선의 지표상 높이는 최소 몇 [m]이상이어야 하는가?
82번
전압 구분에서 고압에 해당되는 것은?(2021년 개정된 KEC 규정 적용됨)
83번
금속 덕트 공사에 의한 저압 옥내배선에서, 금속 덕트에 넣은 전선의 단면적의 합계는 덕트 내부 단면적의 얼마 이하이어야 하는가?
84번
출퇴표시등 회로에 전기를 공급하기 위한 변압기는 1차측 전로의 대지전압과 2차측 전로의 사용전압이 각 각 몇 [V]이하인 절연 변압기이어야 하는가?(오류 신고가 접수된 문제입니다. 반드시 정답과 해설을 확인하시기 바랍니다.)
85번
고압 가공전선로의 가공지선으로 나경동선을 사용하는 경우의 지름은 몇 [mm] 이상이어야 하는가?
86번
최대사용전압 154kV 중성점 직접 접지식 전로에 시험전압을 전로와 대지사이에 몇 [kV]를 연속으로 10분간 가하여 절연내력을 시험하였을 때 이에 견디어야 하는가?
87번
일정용량 이상의 특고압용 변압기에 내부고장이 생겼을 경우, 자동적으로 이를 전로로부터 자동차단하는 장치 또는 경보장치를 시설해야 하는 뱅크 용량은?
88번
제 3종 접지공사에 사용되는 접지선의 굵기는 공칭 단면적 몇 [mm2]이상의 연동선을 사용하여야 하는가?(관련 규정 개정전 문제로 여기서는 기존 정답인 2번을 누르면 정답 처리됩니다. 자세한 내용은 해설을 참고하세요.)
89번
시가지에 시설하는 통신선은 특고압 가공전선로의 지지물에 시설하여서는 아니 된다. 그러나 통신선이 절연전선과 동등 이상의 절연효력이 있고 인장강도 5.26kN 이상의 것 또는 지름 몇 [mm] 이상의 절연전선 또는 광섬유 케이블인 것이면 시설이 가능한가?
90번
무대, 무대마루 밑, 오케스트라 박스, 영사실 기타 사람이나 무대 도구가 첩촉할 우려가 있는 곳에 시설하는 저압 옥내배선ㆍ전구선 또는 이동전선은 사용전압이 몇 [V] 미만이어야 하는가?
91번
전기욕기에 전기를 공급하는 전원장치는 전기욕기용으로 내장되어 있는 2차측 전로의 사용전압을 몇 [V]이하로 한정하고 있는가?
92번
플로어 덕트 공사에 의한 저압 옥내배선 공사에 적합하지 않은 것은?
93번
가공 방식에 의하여 시설하는 직류식 전기 철도용 전차선로는 사용전압이 직류 고압인 경우 어느 곳에 시설하여야 하는가?(오류 신고가 접수된 문제입니다. 반드시 정답과 해설을 확인하시기 바랍니다.)
94번
고압 가공전선으로 경동선 또는 내열 동합금선을 사용할 때 그 안전율은 최소 얼마 이상이 되는 이도로 시설하여야 하는가?
95번
철탑의 강도계산에 사용하는 이상 시 상정하중이 가하여지는 경우의 그 이상 시 상정 하중에 대한 철탑의 기초에 대한 안전율은 얼마 이상 이어야 하는가?
96번
저압 가공전선 또는 고압 가공전선이 도로를 횡단할 때 지표상의 높이는 몇 [m] 이상으로 하여야 하는가? (단, 농로 기타 교통이 번잡하지 않은 도로 및 횡단보도교는 제외한다.)
97번
저압 옥측전선로의 공사에서 목조 조영물에 시설이 가능한 공사는?
98번
판단기준 용어에서 “제2차 접근상태” 란 가공전선이 다른 시설물과 접근하는 경우에 그 가공전선이 다른 시설물의 위쪽 또는 옆쪽에서 수평거리로 몇 [m] 미만인 곳에 시설되는 상태를 말하는가?
99번
가공전선로의 지지물에 취급자가 오르고 내리는데 사용하는 발판 볼트 등은 원칙적으로는 지표상 몇 [m] 미만에 시설하여서는 아니 되는가?
100번
다음 전선로에 대한 설명으로 옳은 것은?
연도별
- 2022년04월24일
- 2022년03월05일
- 2021년08월14일
- 2021년05월15일
- 2021년03월07일
- 2020년09월26일
- 2020년08월22일
- 2020년06월06일
- 2019년08월04일
- 2019년04월27일
- 2019년03월03일
- 2018년08월19일
- 2018년04월28일
- 2018년03월04일
- 2017년08월26일
- 2017년05월07일
- 2017년03월05일
- 2016년08월21일
- 2016년05월08일
- 2016년03월06일
- 2015년08월16일
- 2015년05월31일
- 2015년03월08일
- 2014년08월17일
- 2014년05월25일
- 2014년03월02일
- 2013년08월18일
- 2013년06월02일
- 2013년03월10일
- 2012년08월26일
- 2012년05월20일
- 2012년03월04일
- 2011년08월21일
- 2011년06월12일
- 2011년03월20일
- 2010년07월25일
- 2010년05월09일
- 2010년03월07일
- 2009년07월26일
- 2009년05월10일
- 2009년03월01일
- 2008년07월27일
- 2008년05월11일
- 2008년03월02일
- 2007년08월05일
- 2007년05월13일
- 2007년03월04일
- 2006년08월06일
- 2006년05월14일
- 2006년03월05일
- 2005년08월07일
- 2005년05월29일
- 2005년03월06일
- 2004년08월08일
- 2004년05월23일
- 2004년03월07일
- 2003년08월10일
- 2003년05월25일
- 2003년03월16일